1/18
Looks like no tags are added yet.
Name | Mastery | Learn | Test | Matching | Spaced | Call with Kai |
|---|
No analytics yet
Send a link to your students to track their progress
Glycine (gly, G)
what amino acid

Aspartic acid (asp, D)
what amino acid

Phenylalanine (Phe, E)
what amino acid

Proline (Pro , P)
what amino acid

Tryptophan (Trp, U)
what amino acid

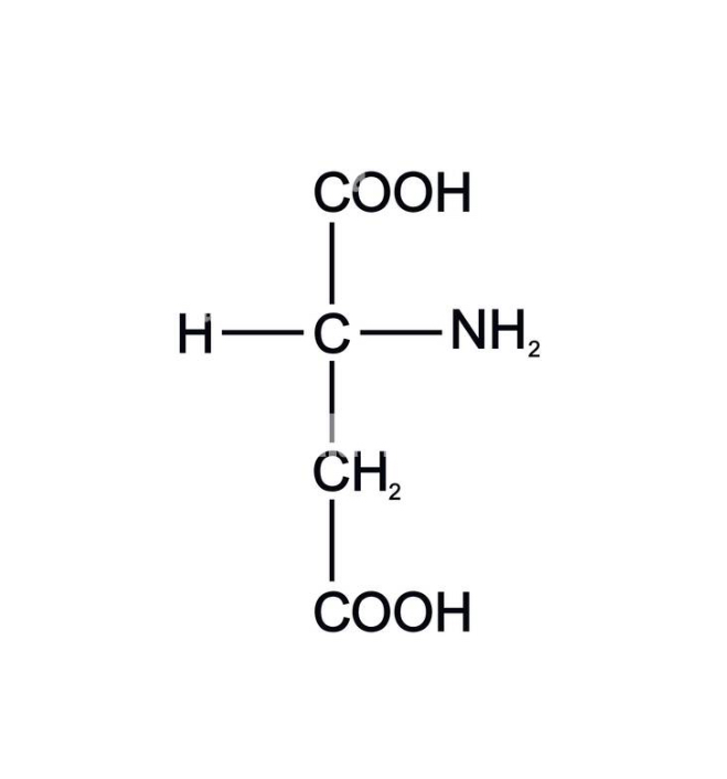
Glutamic acid (Glue, E)
what amino acid

Arginine (Arg, R)
what amino acid

Isoleucine (Ile, I)
what amino acid

Leucine (leu,L)
what amino acid

Asparagine (asn, N)
what amino acid

Theronine, Thr, T
what amino acid

Glutamine (gln,q)
what amino acid

Valine (val,v)
what amino acid

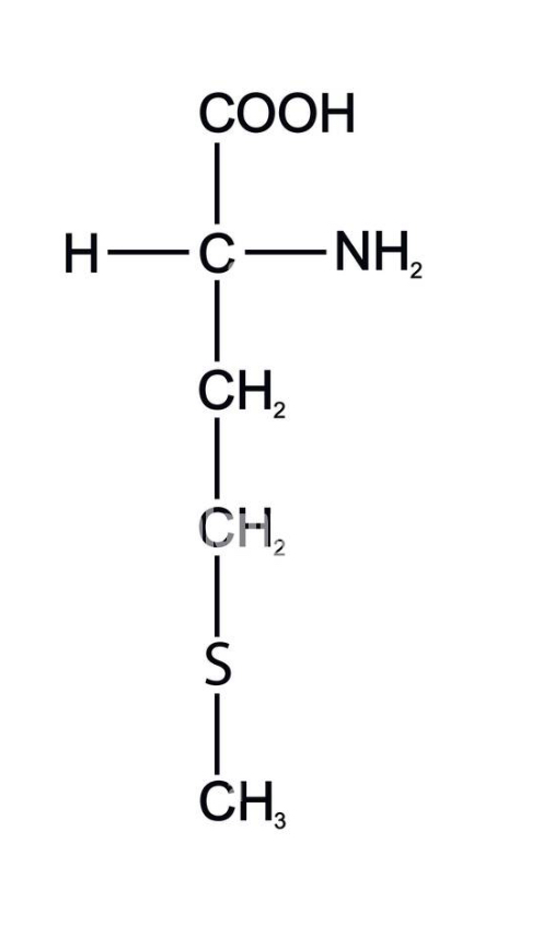
methionine (met,m)
what amino acid

histidine (his,h)
what amino acid

alanine (ala,A)
what amino acid

Serine (Ser,S)
what amino acid

Tyrosine (Try,Y)
what amino acid

Cysteine (Cys,C)
what amino acid
