1/93
Looks like no tags are added yet.
Name | Mastery | Learn | Test | Matching | Spaced | Call with Kai |
|---|
No analytics yet
Send a link to your students to track their progress

what do these equal to
c; a
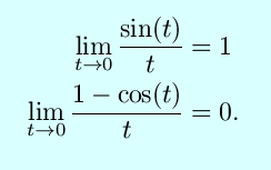
Tell me the special trig limits

What are the removable and non-removable discontinuities?
Removable: Holes
Non-removable: jump, infinite
What is the limit definition of a vertical asymptote?

What is the limit definition of a horizontal asymptote?

What is the Intermediate Value Theorem and what are the conditions?

What is the definition of continuity

What is formula for IROC/difference quotient

Tell me how you can say there is a tangent line using IROC



what is chain rule





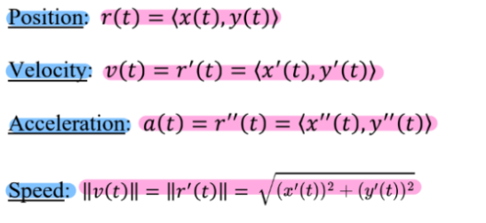
What is free fall motion formula?

What are the gravitational constants (two of them)

What is marginal cost?
rate of change of the cost function


What is the formula for the tangent line approximation to f(x) at a

What is the linear approximation error

What is L’Hospital Rule and how do you use it in FRQ (have to write some stuf)

What is Mean Value Theorem

What is Rolle’s Theorem

What is the extreme value theorem

What are critical values and how to get them?
Endpoints and where derivative is 0 of DNE
How to find what intervals graph is decreasing/increasing?
Find the zeroes of the first derivative and plug in points in first derivative, if its positive it is increasing if it is negative it is decreasing
How to find what points are the minimum maximum?
if it changes from positive to negative first derivative that is a maximum, if it changes from negative to positive first derivative that is a minimum.
How to test for concavity, what is POI
POI is the zero of second derivative

How to do optimization
Just have two equation and then plug one into the other equation and find the derivative of that equation.


tell overestimating/underestimating


How do you do left and right hand sums?

What is trapezoidal sum formula?



What is fundamental theorem of calculus part 1



What is difference between indefinite integral and definite integral?



What is the fundamental theorem of calculus part 2?




How do you solve shit like this







Tell me the major trig identites (precalc stuff)


How to solve something like this: (sin odd)


How to solve something like this (cos odd)


How to solve something like this (both even)


How to solve something like this (tangent is odd)

How to solve something like this (secant is even)

What is integration by parts and how to do it?

When to use tabular method for integration by parts

How to do tabular method?


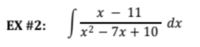
When denominator power greater than numerator what integral method ot use (like image)? what if numerator power greater than denominator?

How to do discontinuity at an upper endpoint?


How to do discontinuity at a lower endpoint?


How to do discontinuity at some point c inside (a, b)

How to write differential equation for inversely proportional?


How to solve for the general solution of this?


How do you do Euler’s method?

What is the formula for exponential change?

What is half-life equal to? (k)

What is the logistic differential equation?

What is the carrying capacity

What is the mean value of thinking?

How to find average value of a function on an interval?

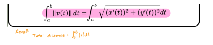
How to find area between curve?
If given no graph js find intersection and go through eahc point through intersection points and see which function greater, be aware might need to split the integrals























unit 9 area of diff curves



What is the geometric series test



What is the nth term test for divergence



What is the integral test and requirements?





What is limit comparison test

What is the alternating series test

Tell all the different types of convergence

Tell me the ratio test

tell me the root test

what is the taylor polynomial



what is the lagrange error bound

What will decrease/increase remainder of the taylor polynomial
