1/21
Looks like no tags are added yet.
Name | Mastery | Learn | Test | Matching | Spaced | Call with Kai |
|---|
No analytics yet
Send a link to your students to track their progress
Expanded series of f(x) = ex

Expanded series of f(x) = sin(x)

Expanded series of f(x) = cos(x)

Expanded series of f(x) = 1/(1+x)

Summation notation of f(x) = ex

Summation notation of f(x) = sin(x)

Summation notation of f(x) = cos(x)

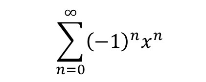
Summation notation of f(x) = 1/(1+x)

Interval of convergence of f(x) = ex

Interval of convergence of f(x) = sin(x)

Interval of convergence of f(x) = cos(x)

Interval of convergence of f(x) = 1/(1+x)


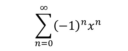
What function does this expanded series represent?
f(x) = ex

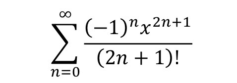
What function does this expanded series represent?
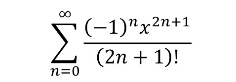
f(x) = sin(x)

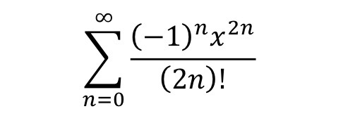
What function does this expanded series represent?
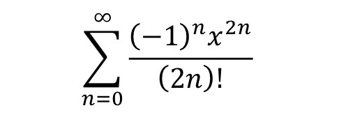
f(x) = cos(x)

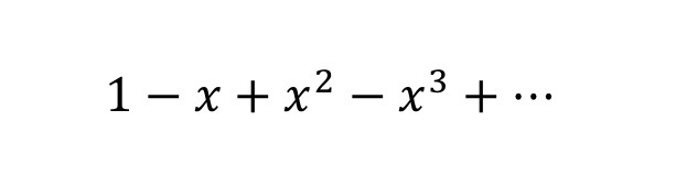
What function does this expanded series represent?
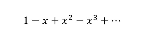
f(x) = 1/(1+x)

What function does this summation represent?
f(x) = ex

What function does this summation represent?
f(x) = sin(x)

What function does this summation represent?
f(x) = cos(x)

What function does this summation represent?
f(x) = 1/(1+x)

What function(s) have the interval of convergence shown in the image?
f(x) = ex, f(x) = sin(x), f(x) = cos(x)

What function(s) have the interval of convergence shown in the image?
f(x) = 1/(1+x)