1/43
Name | Mastery | Learn | Test | Matching | Spaced | Call with Kai |
|---|
No analytics yet
Send a link to your students to track their progress
Explain what is meant by genetic diversity (1)
Difference in allele (1)
The spotted owl is a bird. Numbers of spotted owls have decreased over the past 50 years. Explain how this decrease may affect genetic diversity (1)
Reduced gene pool/fewer varied alleles (1)

A geneticist investigated genetic diversity in four different breeds of dog. She compared DNA base sequences of the same genes from a large number of dogs from each breed.
The geneticist calculated the mean genetic diversity for each breed of dog. The value of this mean was between 0 and 1.
A mean value of 1 show maximum genetic diversity
A mean value of 0 shows no genetic diversity
Her results are shown in the table.
Miniature terriers were first bred from bull terriers in the 19th century,
Suggest one explanation for the observed difference in genetic diversity between miniature terriers and bull terriers (2)
miniature terrier breeding has included more out-breeding (1)
increased number of different alleles (1)

Some birds feed on animals found in mud in estuaries. The drawing shows the heads of three species of these birds and their prey
Use the information in the drawing to explain how interspecific competition between the birds is reduced (2)
different birds feed on different prey and have differently shaped beaks (1)
less competition for food so more birds can eat and survive (1)

Some birds feed on animals found in mud in estuaries. The drawing shows the heads of three species of these birds and their prey
Explain how competition might have played a part in the evolution of the long curved beak of the curlew (4)
Genetic diversity leads to some birds having an allele mutation, leading to a longer and more curved beak (1)
Birds with a long curved beak were better adapted to feed on ragworms (1)
Birds without the same shaped beak couldn’t eat and died off (1)
Advantageous allele spreads over time to offspring as more birds survive and reproduce (1)
The Amazonian forest today contains a very high diversity of bird species.
• Over the last 2 000 000 years, long periods of dry climate caused this forest to separate into a number of smaller forests.
• Different plant communities developed in each of these smaller forests.
• Each time the climate became wetter again, the smaller forests grew in size and merged to reform the Amazonian forest.
(a) Use the information provided to explain how a very high diversity of bird species has developed in the Amazonian forest (5)
No interbreeding/gene pools are separate (1)
Mutation has occurred (1)
different selection pressures (1)
Adapted organisms survive and breed (1)
Change in allele frequency (1)
The Amazonian forest today contains a very high diversity of bird species.
• Over the last 2 000 000 years, long periods of dry climate caused this forest to separate into a number of smaller forests.
• Different plant communities developed in each of these smaller forests.
• Each time the climate became wetter again, the smaller forests grew in size and merged to reform the Amazonian forest.
Speciation is far less frequent in the reformed Amazonian forest. Suggest one reason for this (1)
Similar / same environmental factors (1)

Great tits are small birds. The graph shows the relationship between the number of breeding pairs in the population and the mean number of eggs per nest in different years in a wood
Explain the relationship shown by the graph (2)
Intraspecific variation between the birds for amount of food available as more energy is used trying to find food (1)
Therefore less energy for reproduction (1)
Female great tits usually lay between 3 and 14 eggs in a nest. In the same year, the birds do not all lay the same number of eggs. Explain how one factor, other than the number of breeding pairs, could influence the number of eggs laid by a great tit (1)
Age of birds (1)
Great tits are small birds.
Natural selection influences the number of eggs laid. Explain why great tits that lay fewer than 3 eggs per nest or more than 14 eggs per nest are at a selective disadvantage.(3)
with a higher number of eggs, each egg will receive less food (1)
therefore they are more likely to die (1)
but with less eggs, there is more likely to be predators (1)
therefore unlikely to pass on genes (1)
In an investigation, the tolerance to copper ions of the grass Agrostis tenuis was determined.
Samples were taken of plants growing in waste from a copper mine and from nearby areas just outside the mine. The mean copper tolerance of plants from the mine waste was found to be four times higher than that of plants in the surrounding area.
Explain how natural selection could produce a copper-tolerant population in the minewaste. (4)
Variation is present in the original population due to possible mutations (1)
Copper-tolerant individuals are more likely to survive (1)
these reproduce and pass on beneficial genes to their offspring/next generation (1)
Allele frequency of copper tolerance increases (1)
In an investigation, the tolerance to copper ions of the grass Agrostis tenuis was determined.
Samples were taken of plants growing in waste from a copper mine and from nearby areas just outside the mine. The mean copper tolerance of plants from the mine waste was found to be four times higher than that of plants in the surrounding area.
Copper-tolerant Agrostis tenuis plants flower at a different time from those which are not copper-tolerant. Explain how this might eventually lead to the production of a new species of Agrostis. (4)
Reproductively isolated (1)
different selection pressures for 2 populations (1)
different traits are selected (1)
populations become genetically different and unable to produce fertile offspring (1)

Most human cells contain two copies of each gene. However, there might be up to 15 copies of the gene for amylase (AMY1). Scientists investigated the number of copies of the AMY1 gene in individual people in two populations. One population had a high-starch diet and the other population had a low-starch diet.
Figure 3 shows their results.
Describe what their results show (3)
low starch, fewer copies (1)
Ranges overlap from 2-13 copies. (1)
The range is greater with high starch (1)
Most human cells contain two copies of each gene. However, there might be up to 15 copies of the gene for amylase (AMY1). Scientists investigated the number of copies of the AMY1 gene in individual people in two populations. One population had a high-starch diet and the other population had a low-starch diet.
Multiple copies of the AMY1 gene is an adaptation to a high-starch diet. Use your knowledge of protein synthesis and enzyme action to explain the advantage of this adaptation. (3)
more transcription (1)
more translation (1)
so reaction is faster (1)

The photograph below shows a waxy leaf frog (Phyllomedusa sauvagii). This species of frog is found in hot, dry areas of South America. It has glands that produce waxy lipids to spread over its skin. This reduces water loss. The waxy leaf frog is active only at night, when it hunts for insects in the trees.
Suggest how natural selection could have given rise to the adaptations shown by the waxy leaf frog (5)
idea of selection pressure (1)
rf to competition predation (1)
mutation in frog leads to a advantageous allele (1)
Frogs with the advantageous allele survive better and breed alleles (1)
passing on future generations (1)
Scientists investigated whether farm animals routinely given antibiotics in their food had antibiotic-resistant bacteria in their intestines. They tested the bacteria for resistance to two antibiotics, tetracycline and streptomycin.
Suggest and explain one reason why bacteria resistant to tetracycline are more common than bacteria resistant to streptomycin in these farm animals. (2)
Tetracycline used more frequently/in higher doses (1)
bacteria with resistance more likely to survive and reproduce (1)

The scientist also measured the relationship between birth mass and babies surviving box less than 4 weeks. She determined if the mothers of these babies smoked cigarettes during pregnancy. Her results are shown in Figure 9.
State three conclusions that can be drawn from the data in Figure 9 (3)
Effect of smoking (on number) similar at all birth masses (1)
Survival decreases with smoking (1)
Survival increases as birth mass increases (1)

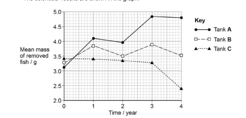
Scientists investigated changes in the mass of fish from three populations of the same species. The fish they used had a life cycle of one year.
The scientists set up three fish tanks, each containing a separate population. Each year the scientists removed all the fish from each tank and determined the mean mass of the fish removed. They then put back 10% of each population in the following way.
Tank A – put back only the largest fish.
Tank B – put back fish at random.
Tank C – put back only the smallest fish.
During each year the fish were left to grow and reproduce.
What type of selection were the scientists modelling in this investigation by putting back only the largest or only the smallest fish in Tank A and Tank C? Give a reason why. (2)
Directional selection (1)
One extreme selected (1)

Sugar beet is a crop grown for the sugar stored in its root. The sugar is produced by photosynthesis in the leaves of the plant. Plant breeders selected high-yielding wild beet plants.
They used these plants to produce a strain of sugar beet to grow as a crop. The drawings show a wild beet plant and a sugar beet plant. The drawings are to the same scale.
Use the drawings to describe two ways in which a sugar beet plant is different from a wild beet plant. Explain how each of these differences would give an increased yield of sugar. (4)
Large leaves (1)
Large SA for light, leading to more photosynthesis (1)
Large root (1)
so more volume to store sugar (1)

Sugar beet is a crop grown for the sugar stored in its root. The sugar is produced by photosynthesis in the leaves of the plant. Plant breeders selected high-yielding wild beet plants.
They used these plants to produce a strain of sugar beet to grow as a crop. The drawings show a wild beet plant and a sugar beet plant. The drawings are to the same scale.
Describe and explain how selection will have affected the genetic diversity of sugar beet. (2)
Selection will have a decreased genetic diversity (1)
Specific traits are selected for, so similar beets will be picked and grown (1)
Lactose is the main sugar in milk and is hydrolysed by the enzyme lactase. Lactase is box essential to newborn mammals as milk is their only source of food. Most mammals stop producing lactase when they start feeding on other food sources. Humans are an exception to this because some continue to produce lactase as adults. The ability to continue producing lactase is known as lactase persistence (LP) and is controlled by a dominant allele. A number of hypotheses based on different selection pressures have been put forward to explain LP in humans.
One hypothesis for LP in humans suggests that the selective pressure was related to some human populations farming cattle as a source of milk.
Describe how farming cattle as a source of milk could have led to an increase in LP. (4)
LP due to mutation (1)
Individuals with LP more likely to survive and reproduce (1)
Directional selection (1)
Frequency of allele increases (1)

The drawing shows four common plants found in the Mojave Desert.
Explain how three features of the plants shown in the drawing are adaptations to desert conditions (3)
Shallow roots enable rapid uptake of rainfall (in X and/or Z) (1)
Widespread/shallow roots allow collection of larger volume in Z (1)
deep roots for accessing deep ground water in Y (1)

Resurrection plants can lose up to 95% of their water content without dying. They can survive for many years in this desiccated state and will revive within hours of rainfall. Suggest which of the plants W to Z is most likely to be a resurrection plant. Give a reason for your choice. (2)
Plant Z (1)
Widespread of roots for rapid absorption of water (1)

Some European clover plants can produce cyanide. Those plants that can produce cyanide are called cyanogenic; those that cannot produce cyanide are called acyanogenic. Cyanide is toxic to the cells of animals and plants.
When the leaves of cyanogenic plants are damaged by slugs, or exposed to low temperatures, membranes within the cells are broken. This causes the release of the enzymes that control the reactions which produce cyanide.
The proportions of cyanogenic and acyanogenic plants in clover populations were determined in different parts of Europe. These are shown in the diagram below, together with the mean minimum winter temperatures. Slugs are not usually active at temperatures below 0 °C.(5)
All plants are acyanogenic below -4oC and (most) cyanogenic above +10oC (1)
Cyanogenic plants’ cells freeze below -4oC (1)
Releasing cyanide (into their own tissues) - damaging plants (1)
Selective advantage not to produce cyanide at -4oC (1)
Slugs present at higher temperatures (1)
The scientists concluded that an increase in phosphate in the embryo was linked to growth of the embryo
Suggest two reasons why an increase in phosphate can be linked to growth of the embryo (2)
Phosphate make RNA (1)
Phosphate can be used for phosphorylation (1)
The chilling requirement of seeds of certain plant species is considered to be an adaptation for survival in countries with seasonal changes in environmental conditions.
Suggest how this adaptation may enable these plant species to survive and respond to seasonal changes (3)
Seeds/embryo remain dorment (1)
Seeds develop in spring/summer (1) ~
Plants photosynthesise in spring (1)
Snow geese are either white or blue in colour. The table shows the percentage of white snow geese in colonies at different latitudes at different times over a 40-year period. The blank cells in the table are years for which no figures are available.
Colony | Latitude (deg N) | 1930 | 1950 | 1960 | 1970 |
A | 72 | 100 | 100 | 100 | |
B | 71 | >99 | >99 | >99 | |
C | 66 | 95 | 85 | 76 | |
D | 63 | 86 | 75 | 67 | 65 |
E | 55 | 62 | 28 |
The further north, the greater the risk of snow. Use this information to explain how natural selection might have accounted for the effect of latitude on the percentage of white snow geese (3)
White snow geese percentage increases with higher latitude (1)
White geese better camouflaged further north (1)
Predation linked to survive/reproductive success (1)

Disinfectants are used to kill microorganisms on non-living surfaces. A student investigated the effect of different concentrations of disinfectant X on the growth of Bacillus subtilis.
The student:
• added 5 cm3 of a different concentration of disinfectant X to 5 different test tubes
• added 5 cm3 of distilled water to another test tube
• added 2 cm3 of a culture of B. subtilis to all 6 test tubes
• incubated the test tubes at 25 °C for 24 hours • used a colorimeter to record the percentage of light absorbed by the contents of each tube.
Use the table above to evaluate the effectiveness of disinfectant X at killing microorganisms on non-living surfaces (4)
Equally effective at 80% as at 100% (1)
Light absorbance may not indicate number of living bacteria/cells (1)
Only (tested on) one species (1)
May not be as effective on other surfaces (1)
M. luteus is not resistant to chloramphenicol.
Suggest two reasons why the bacteria were able to grow in the culture
containing chloramphenicol. (2)
(Contamination with) other/resistant bacteria (1)
mutation occured (1)

A student investigated the effect of two antibiotics on the growth of the bacterium Micrococcus luteus.
During the investigation, the student:
• transferred 9 cm3 of a liquid culture of M. luteus into each of three bottles
• added the antibiotic chloramphenicol to the first bottle
• added the antibiotic novobiocin to the second bottle
• added no antibiotic to the third bottle.
After 24 hours, he diluted the contents of each bottle by 1 in 100 000 (10–5). He
then transferred 0.25 cm3 samples from the first bottle onto each of 3 separate
agar plates. He repeated this with 0.25 cm3 samples from the second bottle and
the third bottle, resulting in 9 agar plates in total.
He incubated the plates for 48 hours.
The table below shows the number of colonies of bacteria he counted on each
plate after 48 hours’ incubation.
Calculate the mean number of bacteria in the undiluted bottle of liquid culture containing novobiocin. Give your answer in standard form. Show your working. (2)
Calculate the mean number of colonies on the novobiocin plates
Mean per plate = (283+263+261)/3 = 254 colonies
254/0.25= 254×4 = 1016 bacteria/cm3
Concentration (undiluted)=1016×105=101,600,000 bacteria/cm3
Concentration (undiluted)=1.016×108 bacteria/cm3
In Africa today, most of the human population are resistant to malaria caused by P. vivax. Use your knowledge of natural selection to explain why this resistance is so common in Africa. (4)
Mutation produced allele (1)
Those with allele/resistance less likely to/do not get malaria/P vivax (1)
(So more likely to) reproduce and pass on the allele (1)
(Over generations) allele frequency increases (1)
There are an estimated 229 million cases of human malaria worldwide per year. 94% of these cases are found in Africa, but are not caused by P.
vivax. P. vivax does cause 61% of the cases of human malaria outside Africa.
Use this information to calculate the number of cases worldwide caused by P. vivax each year. (1)
0.06×229=13.74 million
0.61×13.74=8.38 million (1)
A student investigated the effect of two antimicrobial substances, J and K, on the growth of E. coli bacteria.
The student used a sterilised pipette to transfer E. coli into each culture. Suggest why the number of E. coli cells per mm3 in each culture after 24 hours might have been lower if the student had not used a sterilised pipette. Explain your answer. (2)
Unknown/new/different microoganism (introduced) (1)
(these bacteria) produce toxins (1)

Guppies are small fish with brightly coloured spots on their body. The number of spots on a guppy is controlled by genes. A scientist investigated guppy breeding in a large population of guppies in a fish tank. The fish tank contained brightly coloured stones. After each generation of breeding, she counted the number of spots on every guppy
The scientist concluded that the mean number of spots on the guppies changed in this fish tank because the brightly coloured stones had affected the behaviour of the guppies. The guppies did not behave aggressively towards each other and their feeding behaviour did not change. Suggest one type of guppy behaviour that could be affected by the presence of brightly coloured stones. (1)
Mating/courtship/sexual behaviour (1)

Guppies are small fish with brightly coloured spots on their body. The number of spots on a guppy is controlled by genes. A scientist investigated guppy breeding in a large population of guppies in a fish tank. The fish tank contained brightly coloured stones. After each generation of breeding, she counted the number of spots on every guppy
The scientist concluded that the mean number of spots on the guppies changed in this fish tank because the brightly coloured stones had affected the behaviour of the guppies. The guppies did not behave aggressively towards each other and their feeding behaviour did not change.
Suggest:
• a further investigation the scientist could do to confirm that the brightly coloured stones had affected guppy behaviour
• a null hypothesis for the new investigation. (2)
Repeat (the investigation) with uniformly coloured stones (1)
Presence of stones has no effect on behaviour (1)

Guppies are small fish with brightly coloured spots on their body. The number of spots on a guppy is controlled by genes. A scientist investigated guppy breeding in a large population of guppies in a fish tank. The fish tank contained brightly coloured stones. After each generation of breeding, she counted the number of spots on every guppy
The scientist repeated the investigation of guppy breeding in an identical fish tank, but added predators of the guppies into the fish tank at the fourth generation of breeding.
Figure 2 shows her results.
Name the type of selection the scientist investigated in this fish tank. Explain why this selection affected the frequency of alleles in the population of guppies in this fish tank. (4)
Directional (1)
Fish with more spots are more likely to be predated (1)
Alleles for more spots not passed on (1)
So frequency of more spots alleles decreases (1)
Clostridium difficile is a bacterial species that causes disease in humans. Antibiotic-resistant strains of C. difficile have become a common cause of infection acquired when in hospital.
Explain how the use of antibiotics has led to antibiotic-resistant strains of bacteria becoming a common cause of infection acquired when in hospital. (3)
(Some bacteria have) alleles for resistance (1)
(Exposure to) antibiotics is the selection pressure (1)
(So) high frequency of resistance allele (in bacterial population) (1)

Scientists investigated the effect of trehalose on the growth rate of C. difficile. They grew populations of non-resistant and antibiotic-resistant C. difficile on separate agar plates with:
• no carbohydrate added
• trehalose added.
They measured the growth rate of the C. difficile.
The graph below shows the scientists’ results
Describe how the scientists could use aseptic techniques to transfer 0.3 cm3 of C. difficile in liquid culture from a bottle onto an agar plate. (3)
Disinfect surfaces (1)
Use sterile pipette/syringe (to transfer bacteria) (1)
(Remove bottle lid and) flame neck of bottle (1)
The fruit fly is a species of small insect. The fruit fly has a gene that codes for an enzyme called alcohol dehydrogenase (AD). AD catalyses the breakdown of alcohol when alcohol is in the insects’ food. The gene coding for AD has two alleles, ADF and ADS.
The enzyme encoded by the ADF allele catalyses the breakdown of alcohol faster than the enzyme encoded by the ADS allele. Suggest why (3)
Different primary structure/amino acid sequence (1)
Different tertiary structure/shape of active site (1)
Enzyme-substrate complexes more likely (with enzyme from ADF allele) (1)

Scientists investigated changes in the mass of fish from three populations of the same species. The fish they used had a life cycle of one year. The scientists set up three fish tanks, each containing a separate population.
Each year the scientists removed all the fish from each tank and determined the mean mass of the fish removed. They then put back 10% of each population in the following way.
Tank A – put back only the largest fish.
Tank B – put back fish at random.
Tank C – put back only the smallest fish.
During each year the fish were left to grow and reproduce.
Sea fishing is regulated in law. The size of the mesh used in some fishing nets is controlled so that small fish can escape but large fish are captured. This regulation is designed to protect populations of wild fish. Using all the information in this question, evaluate whether the scientists’ investigation supports the use of these types of nets in sea fishing.(3)
Not supported because
(Sea) fishing reduces (mean) mass of fish (1)
But
Information from (only) one species (1)
No statistical test (1)
A student used a dilution series to investigate the number of cells present in a liquid culture of bacteria. Describe how he made a 1 in 10 dilution and then used this to make a 1 in 1000 dilution of the original liquid culture of bacteria. (3)
Add 1 part (bacteria) culture to 9 parts (sterile) liquid (to make 10–1 dilution) (1)
Mix well (1)
Repeat using 9 parts fresh (sterile) liquid and 1 part of 10–1 and 10–2 dilutions to make 10–3 dilution (1)
The student looked at cells in the 1 in 10 dilution during his preliminary work. He decided not to use this dilution to determine the number of cells in the undiluted liquid culture. Suggest an explanation for the student’s decision. (2)
Count unlikely to be accurate / repeatable / reproducible / reliable (1)
Because cells are overlapping / not spread out (1)
On some farms, animals are routinely given antibiotics in their food. Scientists investigated whether these farm animals had antibiotic-resistant bacteria in their intestines. They tested the bacteria for resistance to two antibiotics, tetracycline and streptomycin. Their results are shown in the table.
In recent years, these farm animals have not been given tetracycline in their food. Despite this, the percentage of bacteria resistant to tetracycline has remained constant. Suggest one reason why. (1)
Environment does not change, so stabilising selection occurs (1)
Lactose is the main sugar in milk and is hydrolysed by the enzyme lactase. Lactase is essential to newborn mammals as milk is their only source of food. Most mammals stop producing lactase when they start feeding on other food sources. Humans are an exception to this because some continue to produce lactase as adults. The ability to continue producing lactase is known as lactase persistence (LP) and is controlled by a dominant allele. A number of hypotheses based on different selection pressures have been put forward to explain LP in humans.
Use the information provided to explain why the number of people showing LP would rapidly increase once selection for this condition had been established. (2)
Dominant allele (1)
(always) expressed (1)