1/7
Looks like no tags are added yet.
Name | Mastery | Learn | Test | Matching | Spaced | Call with Kai |
|---|
No analytics yet
Send a link to your students to track their progress

*

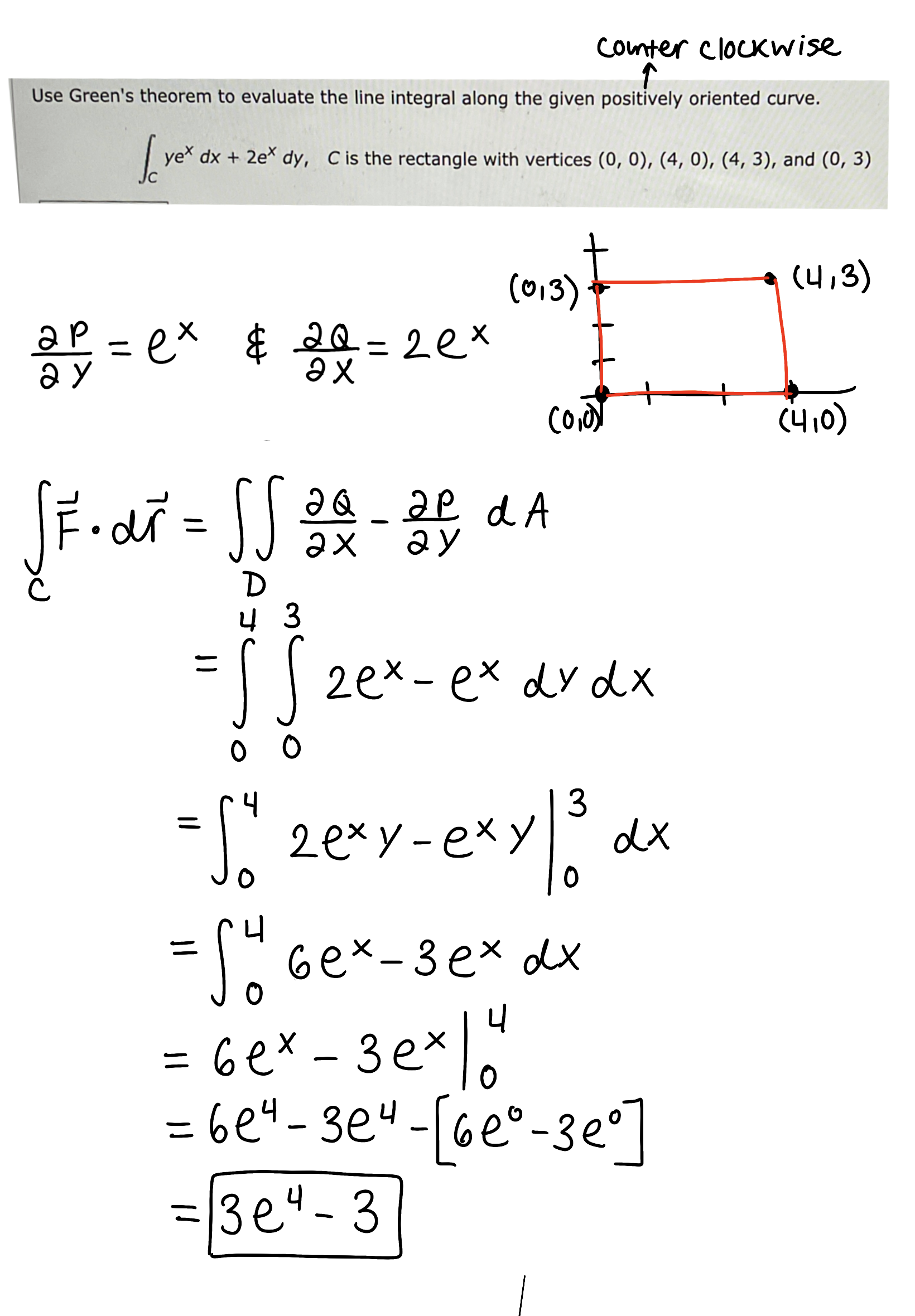
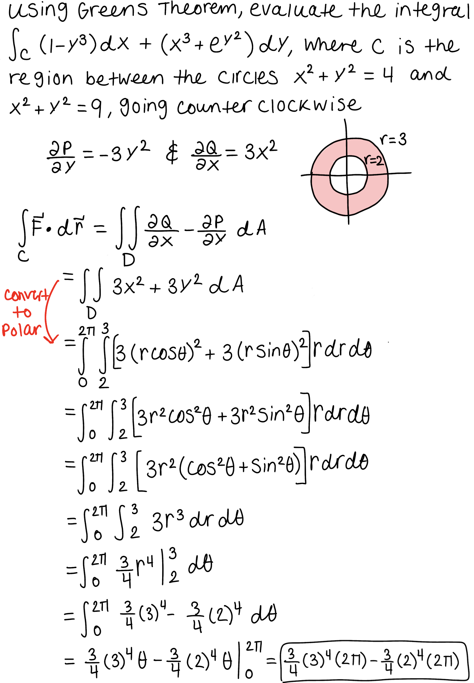
*When you only given points to form a shape, the bounds of the integrals are only constants










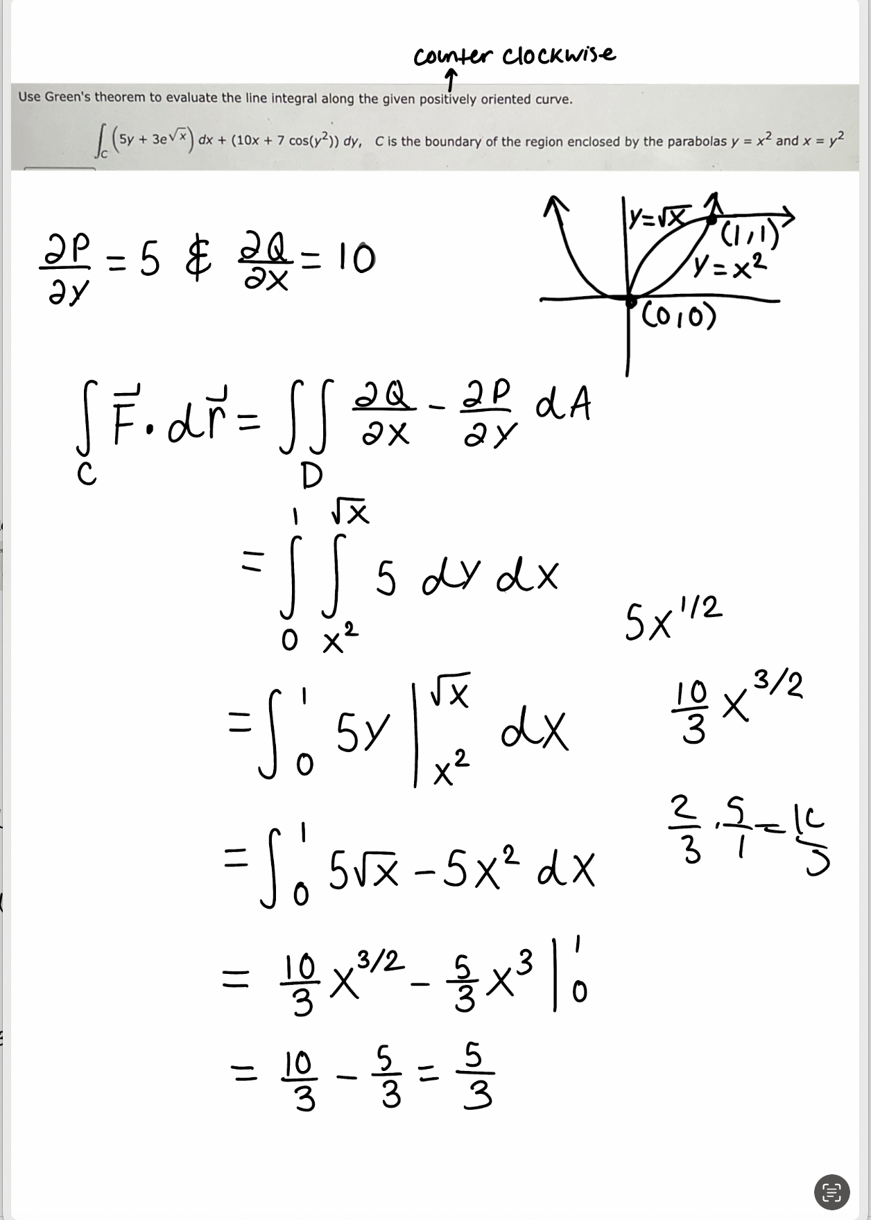
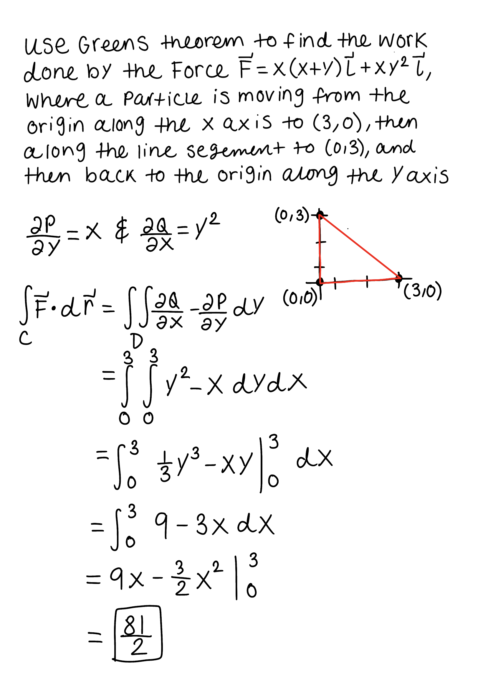
*When you only given points to form a shape, the bounds of the integrals are only constants


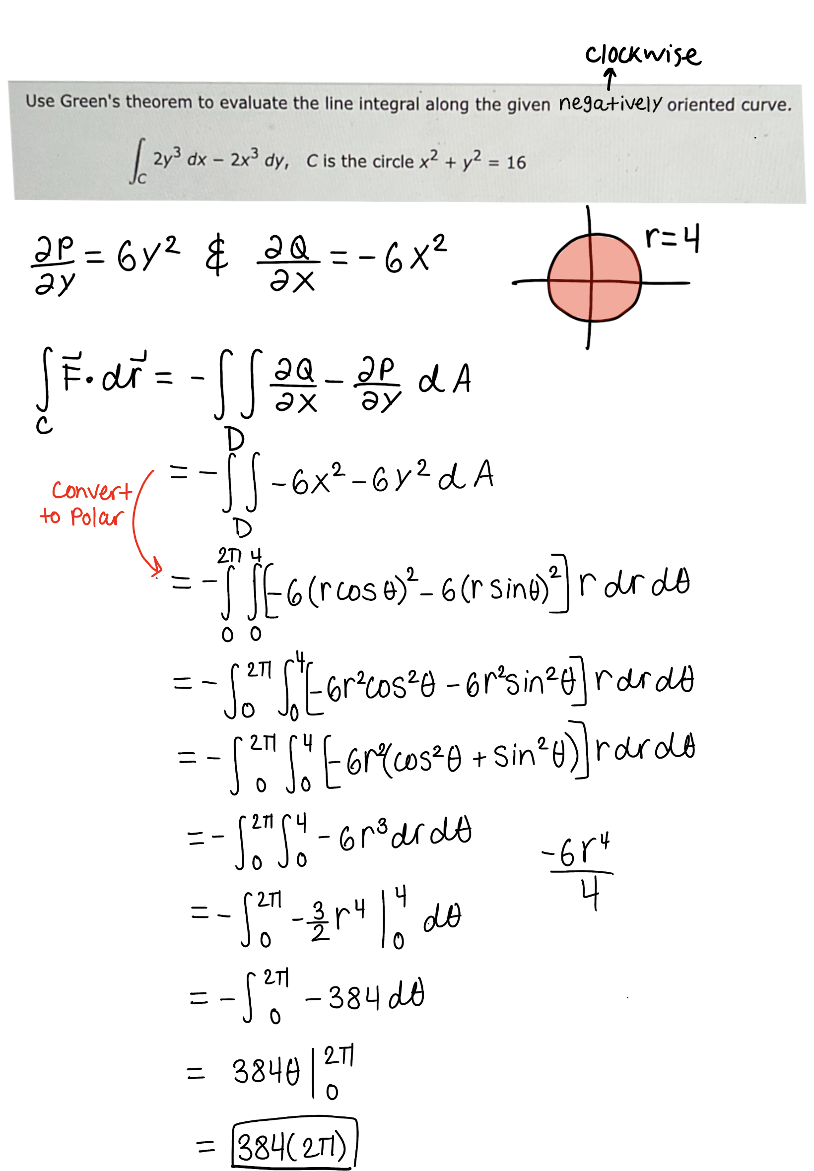
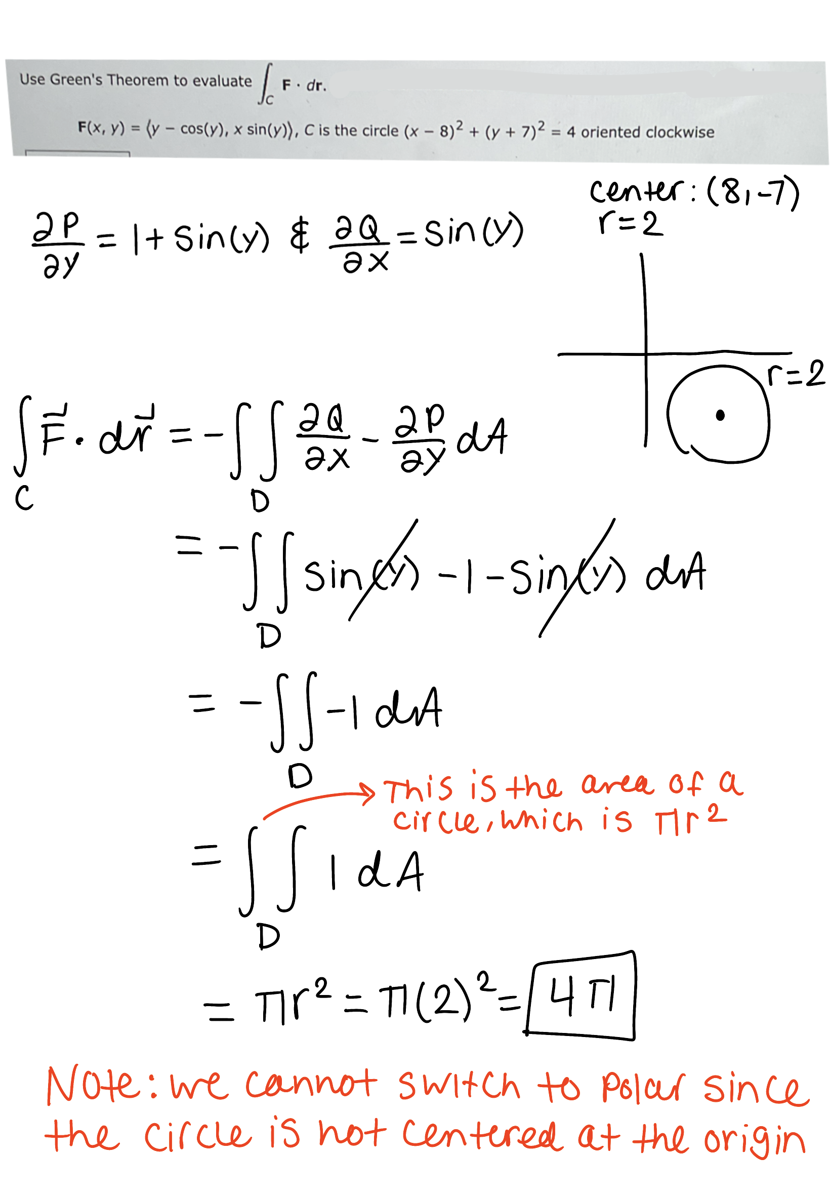
*Since it’s clockwise, there should be a negative sign in front of the integrals
