1/58
Looks like no tags are added yet.
Name | Mastery | Learn | Test | Matching | Spaced | Call with Kai |
|---|
No analytics yet
Send a link to your students to track their progress
Bank USA recently purchased $10 million worth of euro-denominated one-year CDs that pay 10 percent interest annually. The current spot rate of U.S. dollars for euros is $1.104 per €1.
Is Bank USA exposed to an appreciation or depreciation of the dollar relative to the euro?
What will be the return on the one-year CD if the dollar appreciates relative to the euro such that the spot rate of U.S. dollars for euros at the end of the year is $1.004 per €1?
Note: Do not round intermediate calculations. Round your answer to 3 decimal places. (e.g., 32.161)
What will be the return on the one-year CD if the dollar depreciates relative to the euro such that the spot rate of U.S. dollars for euros at the end of the year is $1.204 per €1?
Note: Do not round intermediate calculations. Round your answer to 3 decimal places. (e.g., 32.161)
a. Exposure | Appreciation | |
b. Return if dollar appreciates | 0.036 | % |
c. Return if dollar depreciates | 19.964 | % |
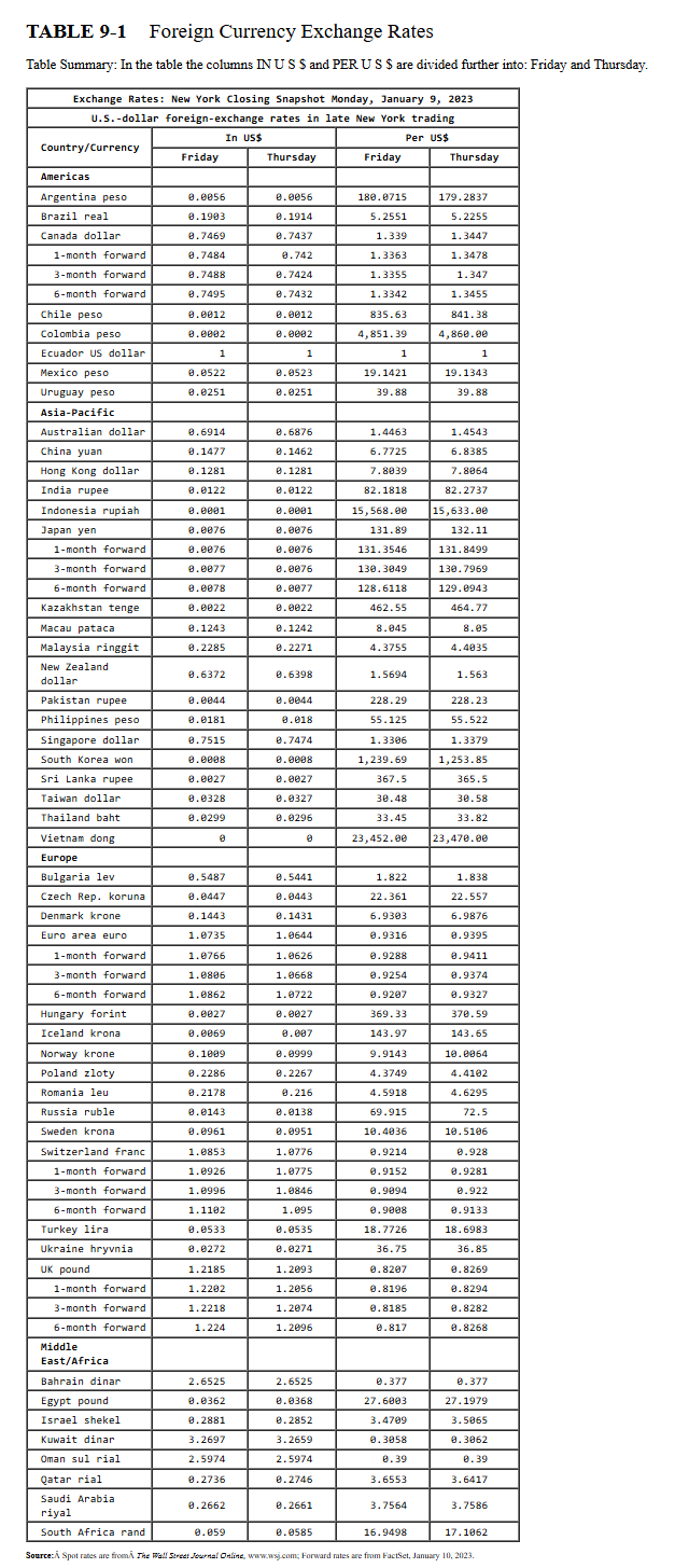
Refer to Table 9–1 (Opens in a new tab or window).
What was the spot exchange rate of Canadian dollars for U.S. dollars (USD per CAD) on January 9, 2023?
Note: Round your answer to 4 decimal places. (e.g., 32.1616)
What was the six-month forward exchange rate of Canadian dollars for U.S. dollars (USD per CAD) on January 9, 2023?
Note: Round your answer to 4 decimal places. (e.g., 32.1616)
What was the three-month forward exchange rate of U.S. dollars for Japanese yen (JPY per USD) on January 9, 2023?
Note: Round your answer to 4 decimal places. (e.g., 32.1616)
Spot exchange rate | C | $1.3390 | per US$1 |
b. Six-month forward exchange rate | C | $1.3342 | per US$1 |
c. Three-month forward exchange rate | US$ | $0.0077 | per JPY1 |


Citibank holds $23 million in foreign exchange assets and $18 million in foreign exchange liabilities. Citibank also conducted foreign currency trading activity in which it bought $5 million in foreign exchange contracts and sold $12 million in foreign exchange contracts.
What is Citibank’s net foreign assets?
Note: Enter your answer in millions.
What is Citibank’s net foreign exchange bought?
Note: Enter your answer in millions. Negative amount should be indicated by a minus sign.
What is Citibank’s net foreign exposure?
Note: Enter your answer in millions. Negative amount should be indicated by a minus sign.
a. Net foreign assets | $5 | million |
b. Net foreign exchange bought | $(7) | million |
c. Net foreign exposure | $(2) | million |

Sun Bank USA has purchased a 16 million one-year Australian dollar loan that pays 12 percent interest annually. The spot rate of U.S. dollars for Australian dollars (AUD per USD) is $0.757 per A$1. It has funded this loan by accepting a British pound (BP)–denominated deposit for the equivalent amount and maturity at an annual rate of 10 percent. The current spot rate of U.S. dollars for British pounds (GBP per USD) is $1.320 per £1.
What is the net interest income earned in dollars on this one-year transaction if the spot rate of U.S. dollars for Australian dollars and U.S. dollars for BPs at the end of the year are $0.715 per A$1 and $1.520 per £1, respectively?
Note: Negative amount should be indicated by a minus sign. Do not round intermediate calculations. Enter your answers in dollars, rather than in millions of dollars. Round your final answer to the nearest whole dollar. (e.g., 32)
What should the spot rate of U.S. dollars for BPs be at the end of the year in order for the bank to earn a net interest income of $200,000 (disregarding any change in principal values)?
Note: Round your answer to 5 decimal places. (e.g., 32.16161)
a. Net interest income | $(21,915) |
b. Spot rate of U.S. dollars | $1.27815 |
P.J. Chase Stanley Bank holds $75 million in foreign exchange assets and $68 million in foreign exchange liabilities. P.J. Chase Stanley also conducted foreign currency trading activity in which it bought $165 million in foreign exchange contracts and sold $128 million in foreign exchange contracts.
What is P.J. Chase Stanley’s net foreign assets?
What is P.J. Chase Stanley’s net foreign exchange bought?
What is P.J. Chase Stanley’s net foreign exposure?
Note: For all requirements, enter your answers in millions.
a. Net foreign assets | $7 | million |
b. Net foreign exchange bought | $37 | million |
c. Net foreign exposure | $44 | million |
On January 9, 2023, you convert 700,000 U.S. dollars to Japanese yen in the spot foreign exchange market and purchase a six-month forward contract to convert yen into dollars. How much will you receive in U.S. dollars at the end of six months? Use the data in Table 9–1 (Opens in a new tab or window) for this problem.
Note: Round your answer to 2 decimal places. (e.g., 32.16)
Amount that you will receive in U.S. dollars at the end of six months | $720,119.40 |
P.J. Chase Stanley Bank holds $88 million in foreign exchange assets and $82 million in foreign exchange liabilities. P.J. Chase Stanley also conducted foreign currency trading activity in which it bought $178 million in foreign exchange contracts and sold $150 million in foreign exchange contracts.
What is P.J. Chase Stanley’s net foreign assets?
What is P.J. Chase Stanley’s net foreign exchange bought?
What is P.J. Chase Stanley’s net foreign exposure?
a. Net foreign assets | $6 | million |
b. Net foreign exchange bought | $28 | million |
c. Net foreign exposure | $34 | million |

What was the spot exchange rate of Taiwan dollar for U.S. dollars (USD per TWD) on January 9, 2023?
Note: Round your answer to 4 decimal places. (e.g., 32.1616)
What was the six-month forward exchange rate of Euro area Euro for U.S. dollars (USD per EU) on January 9, 2023?
Note: Round your answer to 4 decimal places. (e.g., 32.1616)
What was the six-month forward exchange rate of U.S. dollars for Euro area Euro (EU per USD) on January 9, 2023?
Note: Round your answer to 4 decimal places. (e.g., 32.1616)
a. Spot exchange rate | TWD | $30.4800 | per US$1 |
b. Six-month forward exchange rate | EU | $0.9207 | per US$1 |
c. Six-month forward exchange rate | US$ | $1.0862 | per EU1 |
Bank USA recently purchased $10.9 million worth of euro-denominated one-year CDs that pay 10 percent interest annually. The current spot rate of U.S. dollars for euros is $1.104 per €1.
Is Bank USA exposed to an appreciation or depreciation of the dollar relative to the euro?
What will be the return on the one-year CD if the dollar appreciates relative to the euro such that the spot rate of U.S. dollars for euros at the end of the year is $1.004 per €1?
Note: Do not round intermediate calculations. Round your answer to 3 decimal places. (e.g., 32.161)
What will be the return on the one-year CD if the dollar depreciates relative to the euro such that the spot rate of U.S. dollars for euros at the end of the year is $1.204 per €1?
Note: Do not round intermediate calculations. Round your answer to 3 decimal places. (e.g., 32.161)
a. Exposure | Appreciation | |
b. Return if dollar appreciates | 0.036 | % |
C. Return if dollar depreciates | 19.964 | % |
Ctibank holds $28 million in foreign exchange assets and $22 million in foreign exchange liabilities. Citibank also conducted foreign currency trading activity in which it bought $5 million in foreign exchange contracts and sold $13 million in foreign exchange contracts.
What is Citibank’s net foreign assets?
Note: Enter your answer in millions.
What is Citibank’s net foreign exchange bought?
Note: Enter your answer in millions. Negative amount should be indicated by a minus sign.
What is Citibank’s net foreign exposure?
Note: Enter your answer in millions. Negative amount should be indicated by a minus sign.
a. Net foreign assets | $6 | million |
b. Net foreign exchange bought | $(8) | million |
c. Net foreign exposure | $(2) | million |
You have taken a stock option position and, if the stock's price increases, you could lose a fixed small amount of money, but if the stock's price decreases, your gain increases. You must have __________blank.
bought a put option
Measured by the amount outstanding, the largest type of derivative market in the world is the:
swap market.
A bank lender is concerned about the creditworthiness of one of its major borrowers. The bank is considering using a swap to reduce its credit exposure to this customer. Which type of swap would best meet this need?
credit default swap
My bank has a larger number of adjustable-rate mortgage loans outstanding. To protect our interest rate income on these loans, the bank could:
enter into a swap to pay fixed and receive variable.
enter into a swap to pay variable and receive fixed.
buy an interest rate floor.
buy an interest rate cap.
II and III only
You find the following current quote for the March T-bond contract: $100,000; Points 32nd, of 100 percent.
Open | High | Low | Settle | Open Interest |
|---|---|---|---|---|
89-12 | 89-24 | 88-22 | 89-22 | 55,210 |
You went long in the contract at the open. Which of the following is/are true?
At the end of the day, your margin account would be increased.
55,210 contracts were traded that day.
You agreed to deliver $100,000 face value T-bonds in March in exchange for $89,120.
You agreed to purchase $100,000 face value T-bonds in March in exchange for $89,375.
I and IV only

New futures contracts must be approved by:
the CFTC.
An agreement between two parties to exchange a series of specified periodic cash flows in the future based on some underlying instrument or price is a(n):
swap contract
In a bear market, which option positions make money?
Buying a call
Writing a call
Buying a put
Writing a put
II and III
The total notional amount of outstanding OTC contracts was __________blank in 2021 compared to exchange traded contracts which totaled __________blank in 2021.
$598 trillion; $80 trillion
An investor is committed to purchasing 100 shares of World Port Management stock in six months. She is worried the stock price will rise significantly over the next six months. The stock is at $45 and she buys a six-month call with a strike of $50 for $250. At expiration the stock is at $54. What is the net economic gain or loss on the entire stock/option portfolio?
-750
A bank with short-term, floating-rate assets funded by long-term, fixed-rate liabilities could hedge this risk by:
buying a T-bond futures contract.
buying options on a T-bond futures contract.
entering into a swap agreement to pay a fixed rate and receive a variable rate.
entering into a swap agreement to pay a variable rate and receive a fixed rate.
I, II, and IV only
A clearinghouse backs the buyer's and seller's positions in a forward contract.
False
You have taken a stock option position and, if the stock's price drops, you will get a level gain no matter how far prices fall, but you could go bankrupt if the stock's price rises. You have__________blank.
written a call option
Two competing fully electronic derivatives markets in the United States are:
CME Globex and Eurex.
The higher the exercise price, the __________blank the value of a put and the __________blank the value of a call.
higher; lower
Forward contracts are marked to market daily.
False
A professional futures trader who buys and sells futures for his own account throughout the day but typically closes out his positions at the end of the day is called a:
day trader
By convention, a swap buyer on an interest rate swap agrees to:
periodically pay a fixed rate of interest and receive a floating rate of interest.
A credit forward is a forward agreement that hedges against an increase in default risk on a loan after the loan has been created by a lender.
True
A speculator may write a put option on stock with an exercise price of $15 and earn a $3 premium only if he thought:
the stock price would stay above $12.
You have agreed to deliver the underlying commodity on a futures contract in 90 days. Today the underlying commodity price rises and you get a margin call. You must have:
a short position in a futures contract.
A negotiated non-standardized agreement between a buyer and seller (with no third-party involvement) to exchange an asset for cash at some future date with the price set today is called a forward agreement.
True
An interest rate collar is:
buying a cap and writing a floor.
The type of swap most closely linked to the subprime mortgage crisis is the __________blank.
credit default swap
Of the following, the most recent derivative security innovations are:
credit derivatives.
In a futures contract, if funds in the margin account fall below the maintenance margin requirement, a margin call is issued.
True
Futures or option exchange members who take positions on contracts for only a few moments are called scalpers.
True
If the interest rate in the United Kingdom is 8 percent, the interest rate in the United States is 10 percent, the spot exchange rate is $1.35 per £1, and interest rate parity holds, what must be the one-year forward exchange rate?
1.375 per BP

Refer to the Listed Stock Option Price Quote below from February and assume it is now January:
IRQ Underlying stock price $45.23 | ||||||||
Expiration | Call | Put |
| |||||
LAST | VOLUME | OPEN INTEREST | LAST | VOLUME | OPEN INTEREST |
| ||
March | $50 | ?question mark | 102 | 12,578 | 6.55 | 80 | 11,175 |
|
June | $50 | 2.25 | 35 | 1,062 | ?question mark | 48 | 909 |
|
If you buy the March put and don't exercise before contract maturity, you will make a profit if the stock price at maturity __________blank from today's price
decreases by more than 3.94 percent
A stock has a spot price of $55. Its May options are about to expire. One of its puts is worth $5 and one of its calls is worth $10. The exercise price of the put must be __________blank and the exercise price of the call must be __________blank.
$60; $45
You would expect the price quote for a put option to be at least $10 if the put had an exercise price of $40 and the underlying stock was selling for $50.
False
An investor has unrealized gains in 100 shares of Amazon stock for which he/she does not wish to pay taxes. However, he/she is now bearish on the stock for the short term. The stock is at $76 and he/she buys a put with a strike of $75 for $300. At expiration the stock value is $68. What is the net gain or loss on the entire stock/option portfolio?
-400

Refer to the Listed Stock Option Price Quote below from February and assume it is now January:
EAB Underlying stock price $45.23 | ||||||||
Expiration | STRIKE | Call | Put |
| ||||
LAST | VOLUME | OPEN INTEREST | LAST | VOLUME | OPEN INTEREST |
| ||
March | 50 | ?question mark | 102 | 12,578 | 6.05 | 80 | 11,175 |
|
June | 50 | 3.25 | 35 | 1,062 | ?question mark | 48 | 909 |
|
Based on the option quote, the March call should cost:
less than $325.
A bank has made a risky loan to a midsize consumer goods manufacturer. With the weaker economy, the borrower is expected to have trouble repaying the loan. The bank decides to purchase a digital default option. Which one of the following payout patterns does a digital option provide?
The option seller pays a stated amount to the option buyer, usually the par on the loan or bond, in the event of a default on the underlying credit.
A contract that gives the holder the right to sell a security at a preset price only immediately before contract expiration is a(n):
European put option.
A bank with long-term, fixed-rate assets funded with short-term, rate-sensitive liabilities could do which of the following to limit their interest rate risk?
I. Buy a cap.
II. Buy an interest rate swap
III. Buy a floor.
IV. Sell an interest rate swap.
I and II only
Which of the following is true?
Futures contracts require an initial margin requirement be paid.
A contract wherein the buyer agrees to pay a specified interest rate on a loan that will be originated at some future time is called a(n):
forward rate agreement
American options can only be exercised at maturity.
False
If you think that interest rates are likely to rise substantially over the next several years, you might sell a T-bond futures contract or buy an interest rate cap to take advantage of your expectations.
True
Writing a put option results in a potentially limited gain and a potentially unlimited loss.
True
Your firm enters into a swap agreement with a notional principal of $40 million wherein the firm pays a fixed rate of interest of 5.50 percent and receives a variable rate of interest equal to SOFR plus 150 basis points. If SOFR is currently 3.75 percent, the NET amount your firm will receive (+) or pay (−) on the next transaction date is:
-100,000

The purchaser of a T-bond futures contract priced at 101-16 at the time of sale agrees to deliver $100,000 face value Treasury bonds in exchange for receiving $101,500 at contract maturity.
False
Marking to market of futures contracts is the process of realizing gains and losses each day as the futures contract changes in price.
True
An interest rate floor is designed to protect an institution from:
falling interest rates.
falling bond prices.
increased credit risk on loans.
swap counterparty credit risk.
1 Only
A higher level of which of the following variables would make a put option on common stock more valuable, all else held constant?
Stock price
Stock price volatility
Interest rates
Exercise price
2 and 4 only

European-style options are options that may only be exercised at maturity.
True
Refer to the Listed Stock Option Price Quote below from February and assume it is now January:
IRQ Underlying stock price $45.23 | ||||||||
Expiration | STRIKE | Call | Put |
| ||||
LAST | VOLUME | OPEN INTEREST | LAST | VOLUME | OPEN INTEREST |
| ||
March | 50 | ?question mark | 102 | 12,578 | 6.55 | 80 | 11,175 |
|
June | 50 | 2.25 | 35 | 1,062 | ?question mark | 48 | 909 |
|
Based on the option quote, the June put should cost:
more than $477.
more than $655.
more than the March and June 50 calls.
more than the March 50 call but no more than the June 50 call.
I, II, and III only
An in-the-money American call option increases in value as expiration approaches, but an out of-the-money American call option decreases in value as expiration approaches.
True
