1/55
Looks like no tags are added yet.
Name | Mastery | Learn | Test | Matching | Spaced | Call with Kai |
|---|
No analytics yet
Send a link to your students to track their progress

tetracycline general structure

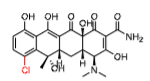
chlortetracycline (1st gen tetracycline- natural product)

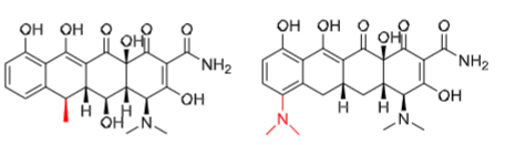
oxytetracyline (1st gen tetracycline- natural product)

chelocardin (1st gen tetracycline- natural product)

1st generation tetracyclines

second generation tetracyclines

doxycycline (2nd gen tetracycline)

minocycline (2nd gen tetracycline)

tigecycline (3rd gen tetracycline)

omadacycline

sarencycline

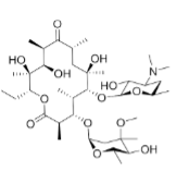
macrolide antibiotics

erythromycin

clarthromycin

azithromycin

telthromycin

overall structure of erythromycin

chloramphenicol

lincosamides

lincomycin

clindamycin

clindamycin phosphate

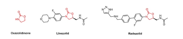
oxazolidinones

lindezolid

radezolid

retapamulin

lefamulin

streptogrammin A / Dalfopristin

streptogrammin B / Quinupristin

rifamycin B

rifamycin SV

rifabutin

rifapentine

rifaximin
fidaxomicin


5,6,7,8-Tetrahydrofolate (THF)

sulfapyridine

sulfanilamide

sulfamethoxazole

TS inhibitors

methotrexate (MTX)

pyrimethamine

trimethoprim (TMP)

folic acid (vitamin B9)

PABA

prontosil

sulfamethoxazole

sulfadiazine

trimethoprim (TMP)

gemifloxacin

besifloxacin

moxifloxacin

ozenoxacin

delafloxacin

gatifloxacin

levofloxacin