1/12
Looks like no tags are added yet.
Name | Mastery | Learn | Test | Matching | Spaced | Call with Kai |
|---|
No analytics yet
Send a link to your students to track their progress
biodiversity
the variety of living organisms
-stability of ecosystems
3 components of biodiversity
-species diversity
-genetic diversity
-ecosystem diversity
species richness
a measure of the number of different species in a community
index of diversity
the relationship between the number of species in a community and the number of individuals in each species
index of diversity EQUATION
d = N(N-1) / sum of n(n-1)
N - total number of organisms of all species
n - total number of organisms of each species
-the higher the index, the more diverse the area
impacts of agriculture -biodiversity
reduces it
-farmland is typically used for only 1 species = monoculture
-use of pesticides
-removal of hedgerows
impacts of agriculture -species diversity
decreases it
-the few species that possess desirable qualities are selected and bred, other species are excluded by culling or pesticides so many individuals of few species
impacts of agriculture -genetic diversity
decreases it
-farmers select for certain characteristics so reduces number of different alleles
techniques to reduce impact of agriculture
-maintain hedgerows
-limit use of pesticides
-maintain ponds
-crop rotation
ways to compare genetic diversity
-the frequency of measurable/observable characteristics
-the base sequence of DNA
-the base sequence of mRNA
-the amino acid sequence of the proteins encoded
random sampling method
1) mark out grid of known area
2) random number generator for coordinates
3) place quadrat at coordinates
4) use large number of quadrats selected at random
5) measure number of species in each quadrat
6) repeats + large sample size = representative
7) use mean number = total number or % / number of quadrats or total size = mean number x number of quadrats
student’s t-test
-used to compare means of data sets
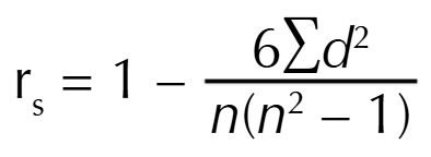
Spearman’s rank correlation coefficient
-used to identify type of correlation between: value close to 1 = positive, value close to -1 = negative, value close to 0 = none
-method: rank first column from highest to lowest (1 = highest), then rank second column from highest to lowest, then find the difference d between the ranks, square the difference d2, add d2 values together, identify number of data n, input values into formula
