1/23
Looks like no tags are added yet.
Name | Mastery | Learn | Test | Matching | Spaced | Call with Kai |
|---|
No analytics yet
Send a link to your students to track their progress
Si discutano le differenze nel comportamento delle onde quando attraversano mezzi dispersivi e mezzi non dispersivi.
Le onde in mezzi dispersivi cambiano velocità a seconda della loro frequenza, causando una separazione delle diverse componenti spettrali. In contrasto, in mezzi non dispersivi, tutte le frequenze viaggiano alla stessa velocità, mantenendo la forma dell'onda inalterata. (parla di velocità di gruppo e di fase)
Fornire una definizione di polarizzazione circolare di un’onda generica. Che tipo di onde possono avere la polarizzazione?
la polarizzazione circolare si ha quando le oscillazioni ruotano in un piano perpendicolare alla direzione di propagazione, descrivendo una spirale. Onde elettromagnetiche e onde sonore possono presentare polarizzazione.

polarizzazione lineare
È un tipo di polarizzazione in cui le oscillazioni dell'onda avvengono in un unico piano. Le onde elettromagnetiche e le onde sonore possono essere polarizzate linearmente.

Discutere il principio di Huygens-Fresnel e le sue applicazioni pratiche.
Il principio di Huygens-Fresnel afferma che ogni punto di un'onda può essere considerato come una sorgente secondaria di onde sferiche, permettendo di spiegare fenomeni come la diffrazione e l'interferenza. Le sue applicazioni pratiche includono l'analisi di onde in ottica e acustica.
Discutere le differenze tra le onde elettromagnetiche nel vuoto e quelle nei mezzi ottici e nei metalli.
Nel vuoto, le onde elettromagnetiche si propagano senza ostacoli, con velocità costante e senza dispersione.
Nei mezzi ottici, la velocità delle onde diminuisce a causa dell'indice di rifrazione, ma la frequenza rimane costante. La luce può subire rifrazione e dispersione.
Nei metalli, le onde elettromagnetiche sono principalmente riflesse dalla superficie del materiale, con una penetrazione limitata a causa degli elettroni liberi che interagiscono fortemente con le onde.
Spiegare perché per le onde impulsive non si definisce solitamente l’intensità. Quale grandezza fisica può essere invece utilizzata?
Per le onde impulsive, l'intensità, che si misura come la media della potenza su un periodo, non è definita a causa della loro natura temporanea e della mancanza di una periodicità. Invece, si utilizza l’energia totale che per le onde impulsive è finita.
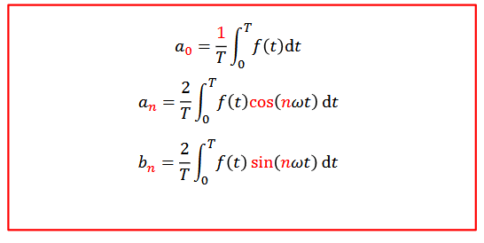
Una funzione f (t) `e sviluppabile in serie di Fourier reale, con pulsazione base ω, e ha tutti i coefficienti bn nulli. Cosa è possibile affermare sulle caratteristiche della funzione f (t)?
poiché la funzione è sviluppabile in serie di Fourier, la funzione è periodica di periodo T=2p/w, continua o continua a tratti con punti di discontinuità finiti. Poiché i coefficienti sono reali allora anche la funzione è reale. Visto che mancano i coefficienti bn, allora la funzione sarà sviluppabile solo con termini proporzionali a cos(nwt) e quindi sarà una funzione pari: f (-t) = f (t).
Spiegare il fenomeno della diffrazione.
La diffrazione è un fenomeno caratteristico delle onde (di qualunque natura) che si origina quando un fronte d’onda incontra un ostacolo. Dal principio di Huygens-Fresnel, nella propagazione ogni punto di un fronte d’onda può essere considerato come sorgente di onde secondarie sferiche con uno specifico andamento angolare. L’inviluppo di tali onde secondarie può fornire contributi anche in regioni dietro un ostacolo. Ai fini di osservare bene il fenomeno è opportuno che le dimensioni dell’ostacolo o la larghezza dell’apertura della fenditura attraverso la quale passa il fronte d’onda sia dello stesso ordine di grandezza della lunghezza d’onda dell’onda incidente.
Illustrare il concetto di impedenza facendo alcuni esempi
L'impedenza è una grandezza fondamentale per comprendere come un sistema oppone resistenza a un flusso, sia di corrente elettrica che di onde elettromagnetiche. Nei circuiti elettrici è un'estensione della resistenza per correnti alternate, mentre nelle onde elettromagnetiche descrive la relazione tra il campo elettrico e magnetico in propagazione. I concetti di resistenza e reattanza sono alla base del calcolo dell'impedenza, che può essere complessa, con una parte reale e una immaginaria.
Spiegare l’importanza delle onde armoniche.
Le onde armoniche sono onde che si propagano in modo sinusoidale, ovvero la loro forma d'onda può essere descritta da una funzione sinusoidale o cosinusoidale nel tempo e nello spazio.
La loro semplicità matematica le rende uno strumento potente per studiare il comportamento di onde e fenomeni più complessi. In molte situazioni, le onde armoniche possono essere utilizzate come una approssimazione di onde più complesse, semplificando i calcoli e la comprensione del sistema.
Le onde armoniche sono la base per descrivere onde più complesse. Ad esempio, un'onda complessa (come una forma d'onda qualsiasi) può essere rappresentata come una somma di onde armoniche, ognuna con una frequenza diversa. Questo processo è noto come analisi di Fourier.
Le onde armoniche sono essenziali per comprendere i sistemi oscillatori, come gli oscillatori meccanici (ad esempio, un pendolo o una molla) o gli oscillatori elettrici (come i circuiti LC). Questi sistemi, che mostrano movimenti o oscillazioni regolari, sono descritti da equazioni che utilizzano onde armoniche.

Discutere se due onde elettromagnetiche armoniche con la stessa lunghezza d’onda, polarizzate su due piani perpendicolari possono dare origine al fenomeno dell’interferenza.
Due onde elettromagnetiche armoniche con la stessa lunghezza d'onda, polarizzate su piani perpendicolari, non possono interferire in modo costruttivo o distruttivo. Questo accade perché le loro direzioni di oscillazione sono ortogonali, quindi non si sovrappongono nel modo necessario per generare un'interferenza.
Descrivere il fenomeno dei battimenti e sotto quali condizioni si genera, includendo una discussione analitica dell’onda risultante.
Il fenomeno dei battimenti si verifica quando due onde di frequenze leggermente diverse si sovrappongono. Questa sovrapposizione genera un'onda risultante che varia nel tempo in ampiezza, creando un effetto di "battimento" percepibile. Le condizioni per la generazione dei battimenti richiedono che le due frequenze siano vicine, tipicamente con una differenza inferiore a qualche hertz.

Descrivere il funzionamento della lamina polaroid e come varia l’intensità al variare dell’angolo di inclinazione della lamina.
Una lamina polaroid (o polarizzatore) è un materiale che seleziona le onde elettromagnetiche (come la luce) in base alla loro polarizzazione. In altre parole, la lamina polaroid permette il passaggio solo delle onde luminose la cui vibrazione del campo elettrico avviene in una direzione specifica, detta direzione di polarizzazione.
La luce naturale è composta da onde elettromagnetiche che vibrano in tutte le direzioni perpendicolari alla direzione di propagazione. Quando la luce attraversa una lamina polaroid, solo la componente della luce che vibra nella direzione della polarizzazione del polaroide riesce a passare, mentre le componenti ortogonali vengono bloccate.
L'intensità della luce trasmessa varia secondo la legge di Malus, che afferma che l'intensità I trasmessa è proporzionale al quadrato del coseno dell'angolo θ tra la direzione di polarizzazione della lamina e la direzione di polarizzazione della luce incidente: I = I₀ cos²(θ).
Discutere le analogie nella trattazione delle intensità energetiche di onde meccaniche e elettromagnetiche.
Le analogie tra le onde meccaniche e le onde elettromagnetiche nell’ambito dell’intensità energetica risiedono nel fatto che entrambe trasportano energia che dipende dall'ampiezza della perturbazione e dalle proprietà del mezzo (nel caso delle onde meccaniche) o dei campi (nel caso delle onde elettromagnetiche). In entrambe le classi di onde, l'intensità è proporzionale al quadrato dell'ampiezza della perturbazione e rappresenta la quantità di energia trasportata per unità di tempo e di area.

Descrivere la formazione delle onde stazionare in una corda tesa fissata ai due estremi.
Le onde stazionarie sono onde che appaiono "fisse" in un dato spazio, ossia non si propagano nel tempo, ma mantengono la loro forma e posizione. Questo tipo di onda si forma dalla sovrapposizione di due onde che si muovono in direzioni opposte con la stessa frequenza e ampiezza.
Affinché si formino onde stazionarie in una corda tesa, devono essere soddisfatte alcune condizioni:
La corda deve essere fissata ai due estremi, impedendo qualsiasi movimento delle estremità.
La frequenza della vibrazione della corda deve essere tale che la lunghezza d'onda dell'onda incidentale si adatti perfettamente alla lunghezza della corda, in modo che l'onda riflessa e l'onda incidente si sovrappongano in modo costruttivo e distruttivo nei punti giusti.
Supponiamo che una corda sia tesa tra due punti fissi e venga eccitata con un'onda che si propaga lungo la corda. Quando l'onda raggiunge l'estremità della corda, si riflette e inizia a propagarsi nella direzione opposta. Ora, l'onda incidente e l'onda riflessa si sovrappongono lungo la corda.
A causa di questa sovrapposizione, in alcune posizioni lungo la corda l'oscillazione delle due onde si somma costruttivamente (le onde si "aggiungono"), mentre in altre si somma distruttivamente (le onde si "annullano"). Il risultato finale è un'onda che non si propaga ma che rimane "stazionaria" in un certo luogo, con nodi e ventri fissi lungo la corda.
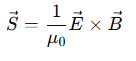
vettore di poynting
Il vettore di Poynting, indicato con S, è un vettore che rappresenta il flusso di energia per unità di superficie e per unità di tempo (potenza per unità di area) trasportato da un'onda elettromagnetica in un dato punto dello spazio. Esso ha la direzione della propagazione dell'onda e la sua intensità è proporzionale alla potenza trasportata.

Discutere la riflessione e la trasmissione di un’onda meccanica nel passaggio tra due mezzi con impedenze diverse.
La riflessione e la trasmissione di un'onda meccanica quando passa tra due mezzi con impedenze diverse dipendono strettamente dalla differenza tra le impedenze dei mezzi. I coefficienti di riflessione e trasmissione determinano quanta parte dell'onda viene riflessa e quanta viene trasmessa.
Il coefficient di riflessione rappresenta la frazione dell'onda che viene riflessa: R= (Z2-Z1)/(Z2+Z1)
Il coefficiente di trasmissione rappresenta la frazione dell'onda che viene trasmessa nel secondo mezzo: T= 2*Z1/(Z1+Z2)
Discutere il fenomeno dell’interferenza
Il coefficiente di trasmissione rappresenta la frazione dell'onda che viene trasmessa nel secondo mezzo.
Interferenza costruttiva: Si verifica quando le onde si sovrappongono in modo tale che i loro spostamenti (o ampiezze) si sommano positivamente, rinforzando l'onda risultante. Questo accade quando le onde sono in fase, ossia quando la differenza di fase tra di esse è un multiplo intero di 2π2\pi2π (ovvero, Δϕ=2kπ \Delta \phi = 2k\piΔϕ=2kπ, con kkk intero).
Interferenza distruttiva: Si verifica quando le onde si sovrappongono in modo tale che i loro spostamenti si sommano negativamente, annullandosi parzialmente o totalmente. Questo accade quando le onde sono in opposizione di fase, cioè quando la differenza di fase tra di esse è un multiplo dispari di π\piπ (ovvero, Δϕ=(2k+1)π\Delta \phi = (2k+1)\piΔϕ=(2k+1)π).

Descrivere il fenomeno che porta alla formazione di immagini riflesse da uno specchio piano.
Quando un oggetto viene posto di fronte a uno specchio piano, i raggi di luce provenienti da ciascun punto dell'oggetto vengono riflessi dallo specchio. L'immagine risultante si forma attraverso la prolungamento dei raggi riflessi, che sembrano provenire da un punto dietro lo specchio.
Caratteristiche principali dell'immagine formata da uno specchio piano:
Posizione: L'immagine si forma dietro lo specchio, alla stessa distanza dell'oggetto davanti allo specchio. Ad esempio, se un oggetto si trova a 3 metri dallo specchio, l'immagine si troverà a 3 metri dietro lo specchio.
Dimensioni: L'immagine è uguale all'oggetto in termini di dimensioni (cioè, è di dimensioni realistiche). L'immagine non viene ingrandita né ridotta.
Orientamento: L'immagine è invertita orizzontalmente (capovolta lateralmente) rispetto all'oggetto. Questo è uno degli aspetti curiosi della riflessione su uno specchio piano: se guardiamo, ad esempio, il nostro riflesso in uno specchio, ci vediamo come se fossimo rivolti verso il retro (come se il nostro lato destro apparisse al posto del sinistro).
Tipo di immagine: L'immagine formata da uno specchio piano è virtuale, non può essere proiettata su uno schermo. Sebbene sembri che la luce provenga da un punto dietro lo specchio, in realtà i raggi di luce non si incrociano effettivamente in quel punto; sono solo un prolungamento apparente dei raggi riflessi. Per questo motivo, l'immagine è virtuale

Discutere l’analisi di Fourier nell’ambito della sua applicazione alle onde
