1/16
Looks like no tags are added yet.
Name | Mastery | Learn | Test | Matching | Spaced | Call with Kai |
|---|
No analytics yet
Send a link to your students to track their progress

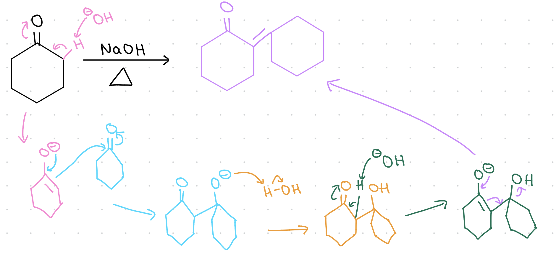
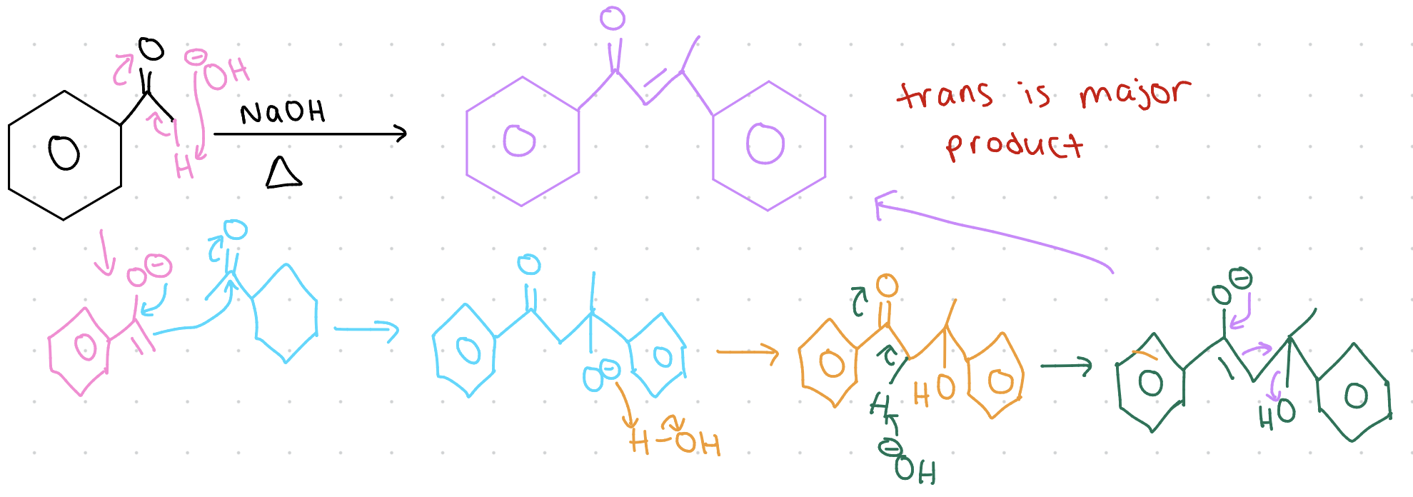
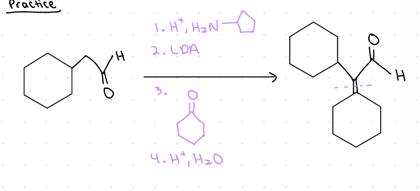
mechanism


mechanism


mechanism










mechanism


mechanism


attacks less sub → large base










mechanism




