1/45
Looks like no tags are added yet.
Name | Mastery | Learn | Test | Matching | Spaced | Call with Kai |
|---|
No analytics yet
Send a link to your students to track their progress


Funkcijos trūkio taškų a.
Trūkio taškai: Jei funkcijos riba neegzistuoja arba nesutampa su funkcijos reikšme f(x0).




7.22



Tolydžio f-jos a. (abu)


Poaibio a.,
Aibė A yra aibės B poaibis, jei visi aibės A elementai yra ir aibės B elementai, A ⊂ B.
lygių aibių a.,
A = B, jei jos turi tuos pačius elementus
aibių sąjungos/
Aibių A ir B sąjunga vadiname aibė, kurios elementai priklauso bent vienai aibei. A ∪ B.
sankirtos/
Aibių A ir B sankirta vadinama aibė, kurios elementai priklauso kiekvienai aibei, A ∩ B.
skirtumo/
Aibių A ir B skirtumu vadinama aibė, kurios elementai priklauso aibei A, bet nepriklauso B, A \ B.
papildinio a.
Aibės A papildinys yra aibė Ā, sudarytų iš tų (universalios aibės U) elementų, kurie nėra aibės A elementai Ā = U \ A
Raselo paradoksas;
Klasikinis paradoksas, parodantis problemą su savireferencinėmis aibėmis: 'Ar aibė, kuri savęs kaip elemento neturi, priklauso sau?'
Y={X:X ∈(nubrauktas) X} Klausimas: ar aibė Y∈ Y?
Funkcijos vaizdo ir pirmavaizdžio a
- Vaizdas: Aibės B elementas b=f(a) vadinamas elemento a vaizdu.
- Pirmavaizdis: Aibės B b=f(a) elementas a vadimas pirmavaizdžiu
A ir B yra dvi aibės. Jei pagal tam tikrą taisyklę f kiekvienam aibės A elementui priskiriamas vienas ir tik vienas aibės B elementas, tai sakome, kad f yra funkcija . f: A -> B
Injekcija:
Kai visi elementai turi skirtingus vaizdus, tai tokia funkcija vadinama injekcija
Siurjekcija:
Kai visų vaizdų aibė sutampa su B aibe (f(A)={f(a), a∈A}=B), tai funkciją f vadinsime siurjekcija.
Bijekcija:
Kai funkcija kartu ir siurjekcija, ir injekcija, tai ją vadiname bijekcija.
Ekvivalenčios aibės:
Aibes A ir B vadinsime ekvivalenčiosiomis, jei egzistuoja bijekcija f: A -> B. Žymesime A ~ B.
- Skaičiosios aibės:
Aibės, ekvivalenčios natūraliųjų skaičių aibei ℕ yra vadinamos skaičiosiomis.
Racionaliųjų skaičių aibė ℚ yra skaičioji aibė
Įrodymas: ℚ={m/n, m∈ℤ, n∈ℕ}. Fiksuotam k∈N apibrėžkime Qk={m/k: m∈Z}
Kiekviena Qk yra skaiti, nes atvaizdis m↦m/k yra bijekcija tarp Z ir Qk, o Z yra skaiti aibė.
Pastebime, kad Q=⋃^∞(k=1)Qk
Pagal teoremą 3.2 Q yra skaiti.
Realiųjų skaičių atkarpa [0,1] nėra skaičioji aibė.
- Intervalai:
Uždaras intervalas ([a,b] : a,b∈ℝ), jei visiems x iš šios aibės teisinga a≤x≤b.
Atviras intervalas ( (a,b) : a,b∈ℝ), jei visiems x iš šios aibės teisinga a<x<b.
Pusiau atviras/uždaras intervalas ( (a,b] : a,b∈ℝ arba [a,b) : a,b∈ℝ), jei visiems x iš šios aibės atitinkamai teisinga a<x≤b arba a≤x<b.
Aplinka:
Tegul x0 yra taškas ant realiųjų skaičių tiesės, o δ>0 kažkoks realusis skaičius. Intervalą (x0 – δ, x0 + δ) vadinsime x0 taško δ aplinka.
Seka:
Tegul A – bet kokių elementų aibė, tada kiekvieną funkciją ϕ : ℕ -> A vadinsime aibės A elementų seka
- Riba:
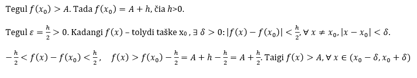
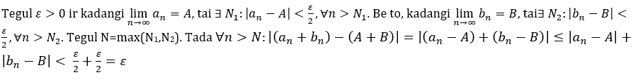
lim(n → ∞) an = L, jei ∀ ε > 0, ∃ N, ∀ n > N, |an - L| < ε.
Koši kriterijus:
|an - am| < ε bet kokiam ε > 0 ir dideliems m, n.
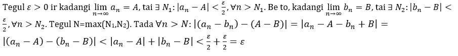
Teorema 7.3 (Ribos vienatis) Seka {an} negali turėti dviejų˛ skirtingu˛ ribu˛.

Sekos aprėžtumų a.
Seką {an} vadinsime: aprėžta iš viršaus, jei egzistuoja konstanta M tokia, kad an ≤ M, ∀n; aprėžta iš apačios, jei egzistuoja konstanta ˙ m tokia, kad an ≥ m, ∀m; aprėžta (aprėžta iš viršaus ir iš apačios), jei egzistuoja konstantos ˙ M ir m tokios, kad m ≤ an ≤ M, ∀n, jei egzistuoja konstanta K > 0, tokia kad |an| ≤ K ∀n.
Teorema 7.4 Kiekviena konverguojanti seka yra aprėžta. Įrodymas:
Tegul lim(n → ∞) an=A ir ε >0. ∃ atviras intervalas (A- ε, A+ ε), kuriam priklauso visi sekos an nariai nuo tam tikro N, jau n>Nε. Tik a1,...,anε narių nepriklauso šiam intervalui. Taigi, tik baigtinės narių sk. nepriklauso intervalui. Vadinasi galima išrinkti didžiausią ir mažiausią iš jų.
supremumo/infimumo a
Skaičiu˛ M vadinsime aibės E supremumu, jei ∀x ∈ E teisinga x ≤ M arba ∀ϵ > 0, ∃x* ∈ E : M − ϵ < x* ≤ M.
Skaičiu˛ M vadinsime aibės E infimumu, jei ∀x ∈ E teisinga x ≥ M arba ∀ϵ > 0, ∃x* ∈ E : m < x* ≤ m + ϵ.








Sekų monotoniškumas:
Seką {an} vadinsime:
1) nemažėjančia, jei a1 ≤ a2 ≤ ... ≤ an ≤ an+1 ≤ ...;
2) nedidėjančia, jei a1 ≥ a2 ≥ ... ≥ an ≥ an+1 ≥ ...;
3) monotoniška, jei seka arba nemažėjanti, arba nedidėjanti.
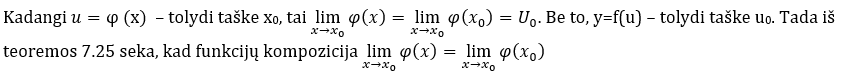
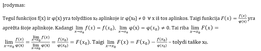
Funkcijos ribos a. (abu)






Teorema 7.12?

dvieju policininku teorema



Ribos iš kairės ir dešinės:
Funkcija gali turėti ribas iš kairės lim(x → a⁻) f(x) ir dešinės lim(x → a⁺) f(x), kurios gali skirtis
Teorema apie rysi tarp f-jos ribos ir ribu is kaire/desines rysi su i


Skaičiu˛ju˛ aibiu˛ skaičioji sąjunga yra skaičioji aibe.
