1/11
Looks like no tags are added yet.
Name | Mastery | Learn | Test | Matching | Spaced | Call with Kai |
|---|
No analytics yet
Send a link to your students to track their progress
Taylor series of 1/(1+x) at x=0
1-x+x²-x³+x^4-x^5
Taylor series of 1/(1-x) at x=0
1+x+x²+x³+x^4+x^5
Taylor polynomial of degree n of f(x) near x=a is given by:
f(a)+f’(a)(x-a)+1/2!f’’(a)(x-a)²+1/3!f’’’(a)(x-a)³+…
Taylor series of e^x at x=0
1+x+x²/2!+x³/3!+x^4/4!+…
Taylor series of sin (x) at x=0 and same for cos(-x)
x-x³/3!+x^5/5!-x^7/7!+…
Taylor series of cos (x) at x=0 (same as sqrt x
1-x²/2!+x^4/4!-x^6/6!+…
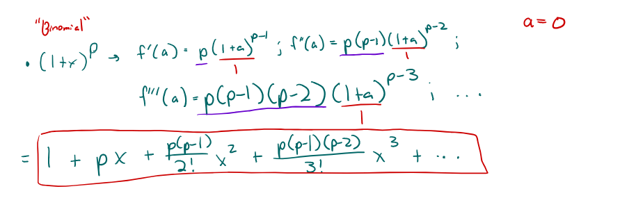
Taylor series of a binomial (1+x)^p

Taylor series of sin (-x) at x=0
-x+x³/3!-x^5/5!+x^7/7!
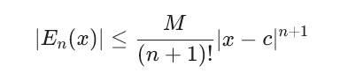
Lagrange Error Bound
c is a

Determine interval of convergence 1

Determine interval of convergence 2

Determine interval of convergence 3
