1/30
Looks like no tags are added yet.
Name | Mastery | Learn | Test | Matching | Spaced | Call with Kai |
|---|
No analytics yet
Send a link to your students to track their progress
Wave
vibrations which repeat backwards and forwards motion (oscillations) which transfer energy without any transfer of matter
Transverse wave
oscillations are perpendicular to the direction of energy transfer
Longitudinal wave
oscillations are parallel to the direction of energy transfer
Wavespeed equation
v = fλ
v - wave speed
f - frequency
λ - wave length
Phase equation
an angle to describe the position in a complete cycle oscillation
Displacement-distance graph features
distance on x-axis
displacement on y-axis
seeing every point at ‘snapshot’
The entire wave moving
Displacement-time graph features
time on x-axis
displacement on y-axis
focused on one single point moving
Longitudinal waves still represented as transverse wave, as the displacement is still plotted on y-axis
Frequency-time-period equation
T = 1 / f
Time period
Time for one complete oscillation
measured in s
Frequency
Number of waves per second
measured in Hertz (Hz)
‘Out of phase’
waves that are not at the same angle at the same point or there is a phase difference
angular separation
the phase difference between two waves / lines
anti-phase
the wave is like a ‘reflection’ of the other on the x-axis

Phase
the angular position of the wave

Coherence
constant phase difference between two waves
Must have the same frequency
Principle of superposition
where two or more waves meet, the total displacement at any point is equal to the vector sum of the displacements of the individual waves
Stationary / standing waves
a wave which the crests and troughs do not travel (i.e. they only move up and down)
Only oscillates, does not propagate
Superpose
when two waves interfere as they overlap
Constructive interference
when the wave displacements of the 2 waves are in the same direction as each other.
Taking the vector sum of displacements means that the resultant wave has a bigger displacement than the waves that created it
Destructive interference
when the wave displacements of the 2 waves are in the opposite direction to each other.
Taking the vector sum of these displacements means that the resultant wave has a smaller displacement than the waves that created it.
Node
a point on a standing wave where the resultant displacement is zero (i.e. it is not vibrating)
Waves always meet at opposite displacements at this point
Node = no displacement
Anti-node
a point on a standing wave where the resultant displacement is maximum
waves always meet in phase at this point
First harmonic (fundamental frequency)
the lowest frequency which can be held
Length of wave = λ/2
Harmonic number
the number of antinodes
Number of nodes
harmonic number +1
Progressive wave
an oscillation that transfers energy and information from one location to another through a medium/vacuum
Standing wave setup procedure
Progressive wave travels along string from vibration generator
Wave reflects and travels back along string when it reaches boundary (end of string)
Fixed boundaries are nodes
This causes two waves of the same wavelength, amplitude and frequency travelling in opposite directions
The wave superpose/interfere
At some point the two waves meet and always interfere destructively, causing a node and interfere constructively, causing an anti-node
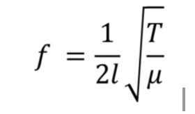
First harmonic frequency equation
T - Tension
μ - mass per unit length
l - length (from first to last node)

Coherent waves
when two different waves have a constant phase difference they are said to be coherent waves
Lasers produce coherent waves
They must have the same frequency and wavelength
Path difference
extra difference travelled by one wave compared to another (coherent waves)
Must be a whole number of wavelengths plus half a wavelength (or an odd multiple of half wavelengths) for the waves to meet in anti-phase
Fringe separation equation (Young’s double slit)
W = 𝜆D / s
W - the fringe separation [m]
middle of one bright fringe to the middle of next bright fringe
𝜆 - wavelength [m]
Red - around 700 nm
D - distance from slits to screen [m]
s - slit separation [m]
Centre of one slit to centre of other