1/30
Looks like no tags are added yet.
Name | Mastery | Learn | Test | Matching | Spaced | Call with Kai |
|---|
No analytics yet
Send a link to your students to track their progress

find = ?


find = ?










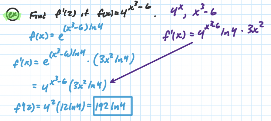
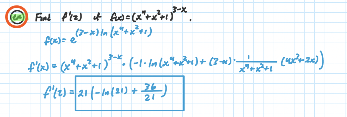
find dy/dx


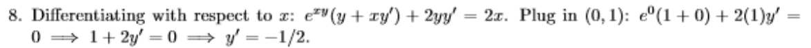
find dy/dx


































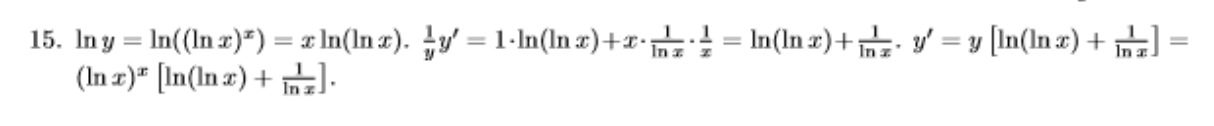
find the derivative using log differentiation


find the derivative using log differentiation


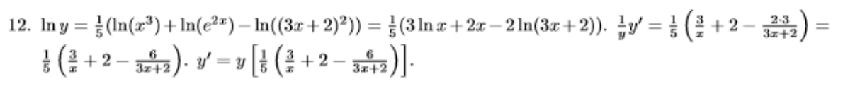
find the derivative using log differentiation


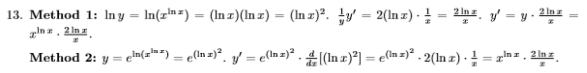
find the derivative using log differentiation


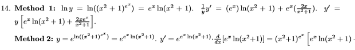
find the derivative using log differentiation




