1/62
Looks like no tags are added yet.
Name | Mastery | Learn | Test | Matching | Spaced | Call with Kai |
|---|
No analytics yet
Send a link to your students to track their progress



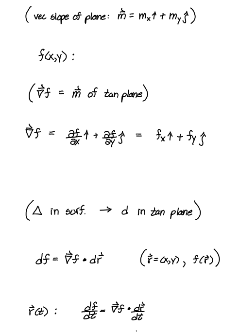
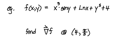
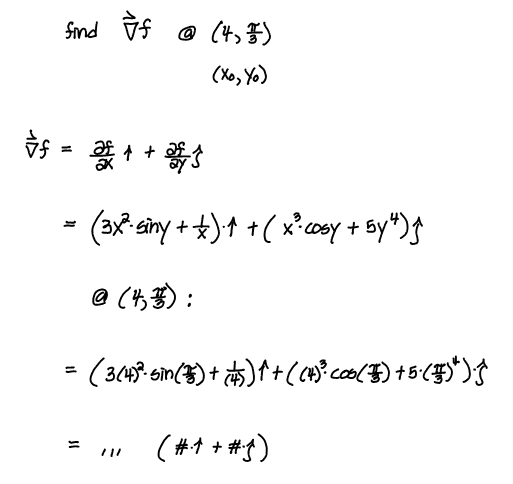
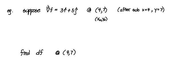
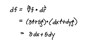
Vector slope of plane (m), r, df


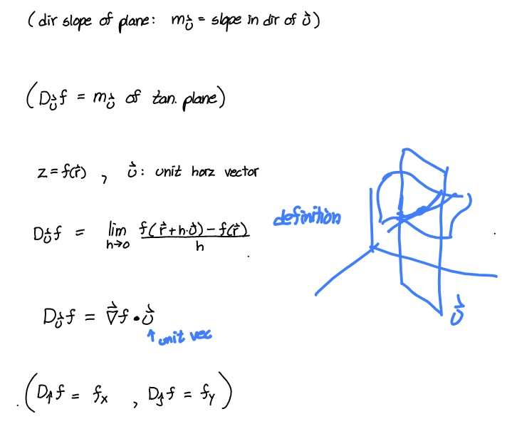
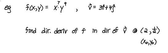
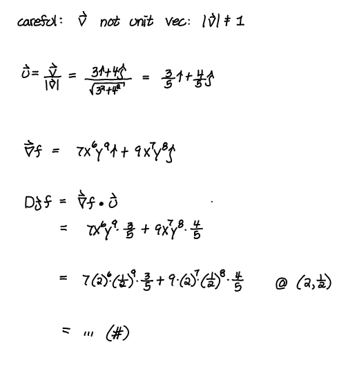
Directional slope of plane (and tan plane), u, definition


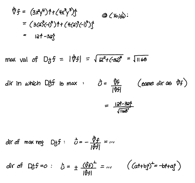
When is directional derivative 0, max, max value


magnitude of gradient, level lines


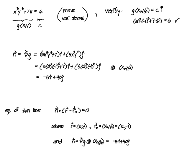
gradient of g


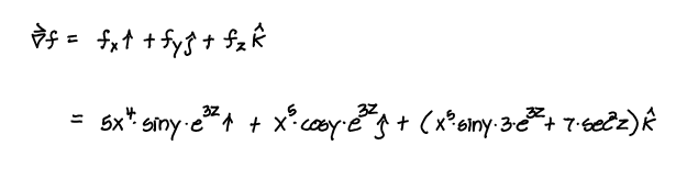
r, u, f, gradient of f, rephrase


gradient of g


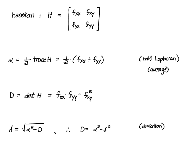
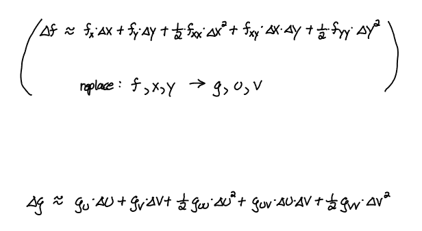
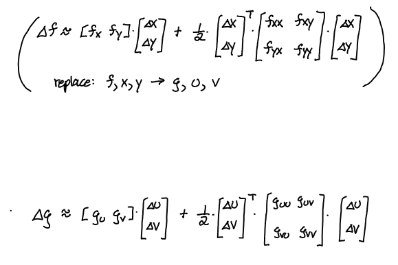
expanded form, matrix form, graph


a, b, c, d


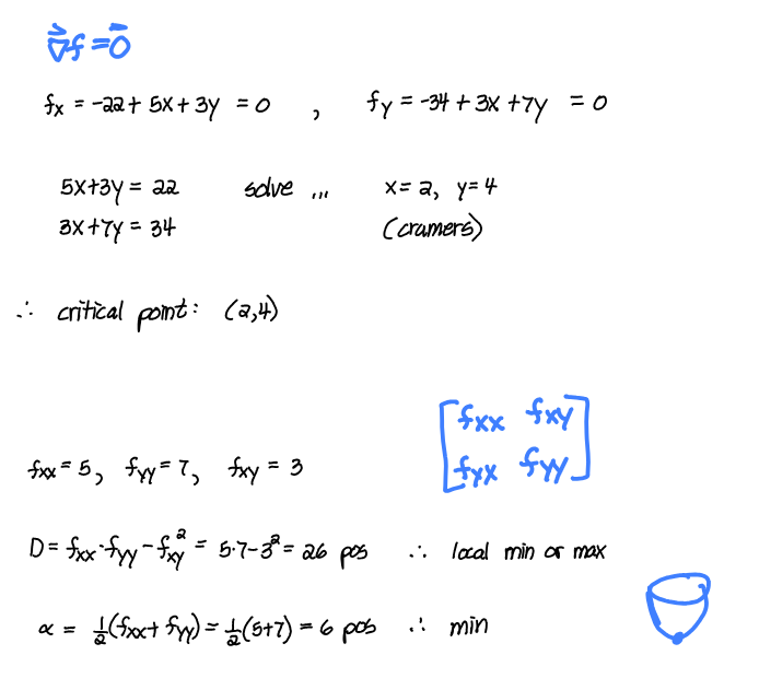
partial derivatives




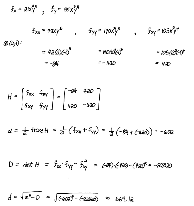
Determinant of Hessian, deviation


D, half Laplacian/average


Critical point, D, half Laplacian


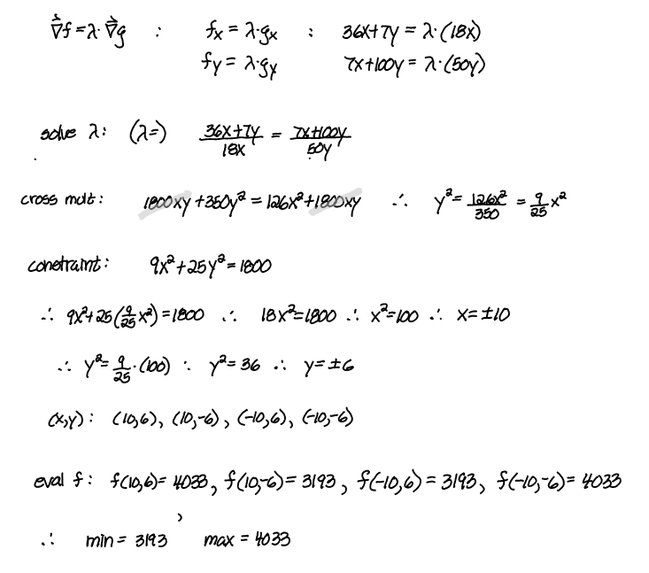
constraint, components, solve,


lagrange


lagrange


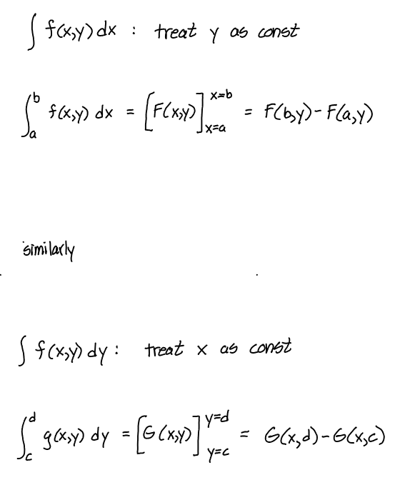
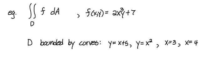
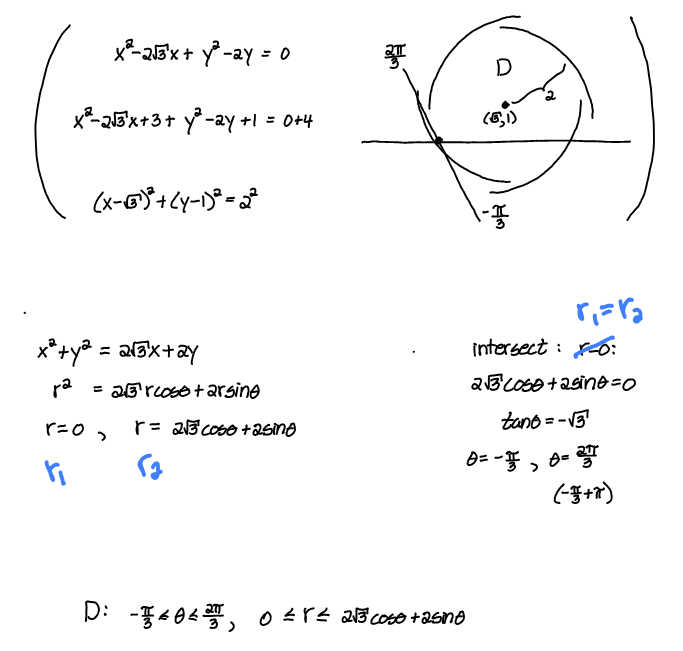
Volume under surface and double integrals (rectangle R, V, dA, dV)


treat x and y as constant (a, b; c, d)


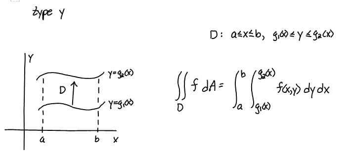
R, dA, inside endpoints/differential, integral, bounded by…


dA


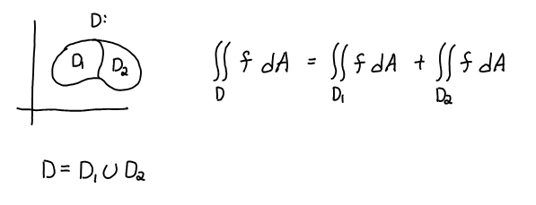
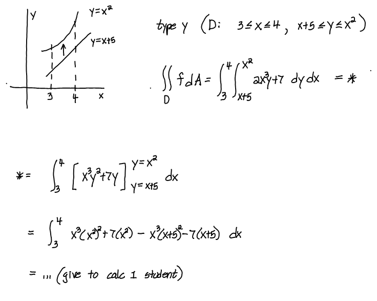
D, dA


D, dA




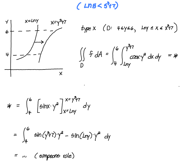
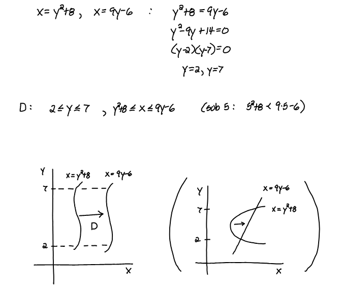
draw D, x, y, direction of arrow, bottom/top, left/right


graph of g1, g2


(misc.)


Area of D (misc.):


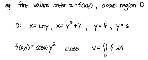
Volume between surfaces (misc.)


R, x, y


dA


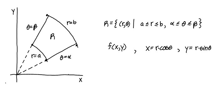
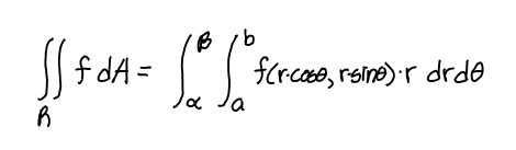
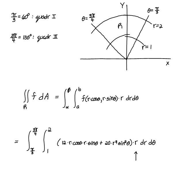
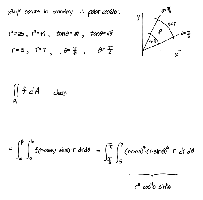
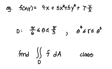
using r and theta


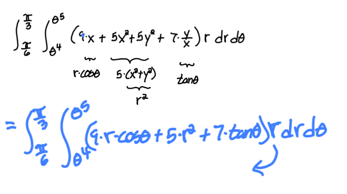
General polar regions (D, r, dA, circle, line)


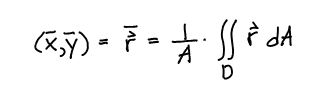
Centroid


dA


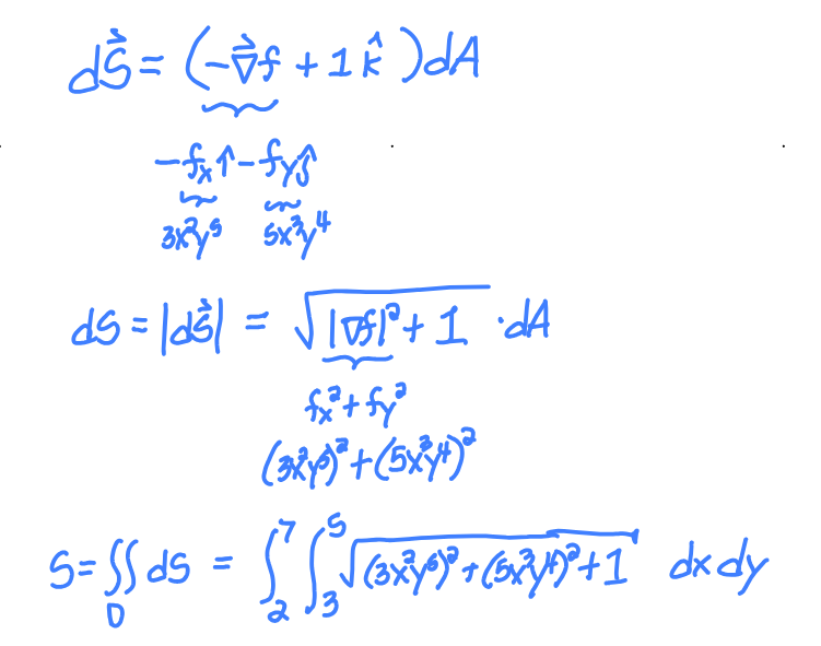
dS (vector and non-vector), dr, tan. plane, z = f(x,y), surface area (S)












































Solve for the inside








