1/12
Looks like no tags are added yet.
Name | Mastery | Learn | Test | Matching | Spaced | Call with Kai |
|---|
No analytics yet
Send a link to your students to track their progress
Unsaturated Fatty Acids
Fatty acids with one or more double bonds. Lower melting points; Liquid at room temperature

Saturated fatty acids
Fatty acids with no double bonds. Higher melting points; Solid at room temperature

Omega-3 Fatty Acids
Double bond three carbons from methyl end.

Saponification
the reaction between a fat and a strong base to produce glycerol and the salt of a fatty acid (soap); removal of glycerol drives reaction foward
Glycerol
Combines with fatty acids to make lipids. 3 carbons: 8 hydrogens: 3 oxygens

Triacyleglycerol
- glycerol forming ester bonds with 3 fatty acids; how neutral lipids are stored; fats & oils;
- 6 oxygens: at least 3 carbons: at least 5 hydrogens: CH2/CH
Phospholipids
a lipid consisting of a glycerol bound to two fatty acids and a phosphate group. most abundant lipid in the membrane

Sphingolipids

steroid nucleus

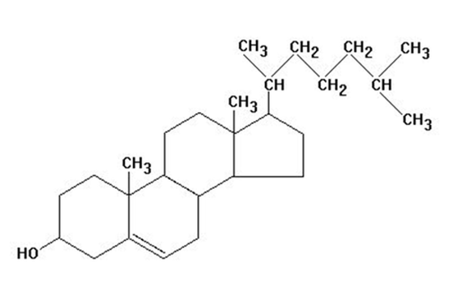
Cholesterol
A lipid that forms an essential component of animal cell membranes and acts as a precursor molecule for the synthesis of other biologically important steroids.; modulates fluidity of membranes

cholesterol structure

fatty acids
- Carboxylic acids with long hydrocarbon chains. 2 oxygens: CH3/CH2/CH pattern
- main storage of energy
- Stored in adipose cells
- More energy per carbon than other molecules and is not easily metabolized

Still learning (11)
You've started learning these terms. Keep it up!