1/115
Looks like no tags are added yet.
Name | Mastery | Learn | Test | Matching | Spaced | Call with Kai |
|---|
No analytics yet
Send a link to your students to track their progress
Size Reduction
This refers to the process of breaking down solid materials into smaller, more manageable particles.
Comminution
What is the other term for “size reduction“?
Create specific particle sizes and shapes
Increase surface area for reactions
Liberate valuable minerals
Give some of the purposes of size reduction or comminution (3)
FALSE
Size reduction process is energy intensive and a highly inefficient process.
TRUE or FALSE. Size reduction process is energy intensive and a highly efficient process.
5%
What percent of electricity generated is used for size reduction?
1%
Industrial processes are less than ___% efficient.
Attractive Forces
These forces pull the ions towards each other. The strength of these forces is significant when the ions are at their equilibrium distance.
Repulsive Force
This force prevents the ions from getting any closer together and contributes to the stability of the crystal lattice.
Equilibrium Distance
____________ is where the attractive and repulsive forces are equal in magnitude but opposite in direction, resulting in zero net force
Equilibrium Distance
This distance represents the most stable configuration for ions in the lattice.
FALSE
In compression, forcing ions closer together increases repulsive forces.
TRUE or FALSE. In compression, forcing ions closer together decreases repulsive forces.
FALSE
In tension, increasing the distance between ions reduces attractive forces until they can no longer maintain the lattice structure,
TRUE or FALSE. In tension, decreasing the distance between ions reduces attractive forces until they can no longer maintain the lattice structure.
Hooke’s Law
This law states that “strain is directly proportional to applied stress.“
Young’s Modulus
This describes the proportionality (stress/strain)
Plastic Deformation Regime
When the applied force exceeds a certain threshold, the material enters the _____________. Here, the deformation becomes permanent, resulting in the breaking of bonds.
Elastic Limit or Yield Stress or Material’s Strength
This refers to the maximum stress that the material can withstand while still returning to its original shape. Beyond this limit, plastic deformation occurs, indicating the transition to fracture.
Overestimated Strength
This assumes all bonds in a crystal plane break simultaneously under tensile stress, leading to a theoretical strength much higher than reality.
Underestimated Strength
This assumes only the bonds about to break are stretched, resulting in a theoretical strength much lower than reality
TRUE
TRUE or FALSE. Actual fracture mechanism is more intricate than these simplified models, requiring deeper analysis to accurately predict material behavior.
Strain Energy
This is the stored energy when an object stretches or when there is a change of length because a force is being applied to it.
Tension
A body stores strain energy under ___________.
FALSE
Strain energy is not uniformly distributed throughout the body but is concentrated around holes, corners, and cracks.
TRUE or FALSE. Strain energy is uniformly distributed throughout the body but is concentrated around holes, corners, and cracks.
Inglis (1913)
Who proposed the working formulas for the stress concentration factor (K).
Stress Concentration Factor
This is a ratio that compares the maximum stress in a structure to the nominal stress.
Griffith (1921)
Who proposed the criteria that must be satisfied for a crack in the surface of a body to propagate.
Griffith Theory of Fracture
This theory in fracture mechanics explains how cracks in brittle materials propagate.
The strain energy that would be released must be greater than the surface energy created.
There must be a crack propagation mechanism available.
Griffith (1921) proposed that for a crack in the surface of a body to propagate, the following criteria must be satisfied (2)
30 degree angle
Griffith showed that the largest tensile stresses are produced at cracks having a ____ degree angle to the compressive stress.
read lng frfrfrfr

read pagd frfrfrfr

Kendal (1978)
Who showed that as the particle size decreases, the fracture strength increases until a critical size is reached when crack propagation becomes impossible.
TRUE
TRUE or FALSE. As particle size increases, the fracture strength decreases.
FALSE
Large particles are less difficult to break than small particles.
TRUE or FALSE. Large particles are more difficult to break than small particles.
Rittinger’s Law
Kick’s Law
Bond’s Law
What are the three well-known postulates predicting energy requirements for particle size reduction.
Rittinger (1867)
Who proposed that the energy required for particle size reduction was directly proportional to the area of new surface created.
Kick (1885)
Who proposed that the energy required in any comminution process was directly proportional to the ratio of the volume of the feed particle to the product particle.
Bond’s (1952) law
This law states that the work required to reduce particle size is proportional to the inverse square root of the size.
Bond’s Work Index
This is defined as the energy required to reduce the size of unit mass of material from infinity to 100 µm in size.
Bond’s Work Index
It is determined experimentally and depends on the material type but is independent of the final product size.
Holmes (1957)
Hukki (1961)
Who were the people who derived a general formula that includes all three size reduction laws as special cases.

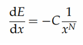
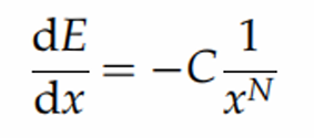
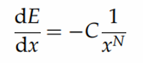
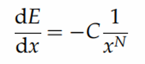
According to Holmes (1957) and Hukki (1961), the three proposals can be considered as being the integrals of the same differential equation:
1.5
From the given differential equation, in Bond’s Law, N is equal to ____.

2
From the given differential equation, in Rittinger’s Law, N is equal to ____.

1
From the given differential equation, in Kick’s Law, N is equal to ____.

Rittinger’s Law
For small particle sizes (ultra-fine grinding), what postulate predicting energy requirements for particle size reduction should be applied?
Kick’s Law
For large particle sizes (coarse crushing, crushing), what postulate predicting energy requirements for particle size reduction should be applied?
Bond’s Law
For intermediate particle sizes, what postulate predicting energy requirements for particle size reduction should be applied?
Crushing
Grinding
Cutting
Attrition
Impact
Compression
Enumerate the Operations in Size Reduction mentioned (6)
Crushing
The process of breaking large pieces of material into smaller pieces.
Grinding
The process of breaking large pieces of material into smaller pieces using abrasion and shear forces.
Cutting
The process of breaking large pieces of material into smaller pieces using a sharp knife.
Attrition
A size reduction method that uses rubbing or scraping to break down solid materials into smaller particles.
Impact
The process of breaking down a material into smaller particles by forcefully striking it against another surface
Compression
A size reduction technique that uses force to crush materials between rollers or plates
Jaw Crushers
Gyratory Crushers
Cone Crushers
Enumerate equipment used for CRUSHING (3)
Jaw Crushers
Identify what equipment is being described: CRUSHING
These are used for coarse size reduction and operate by compressing the material between two plates, one fixed and one moving.
Gyratory Crushers
Identify what equipment is being described: CRUSHING
These consist of a conical head gyrating inside a larger conical shell, crushing the material as it moves downward.
Cone Crushers
Identify what equipment is being described: CRUSHING
These operate similarly to gyratory crushers but are typically used for secondary or tertiary crushing
Ball Mills
Rod Mills
Hammer Mills
Enumerate equipment used for GRINDING (3)
Ball Mills
Identify what equipment is being described: GRINDING
These cylindrical devices used for fine grinding, where the grinding media (balls) are tumbled with the material to be ground.
Rod Mills
Identify what equipment is being described: GRINDING
These are similar to ball mills but use long rods as the grinding media, which grind the material by rolling and cascading action.
Hammer Mills
Identify what equipment is being described: GRINDING
These use rotating hammers to impact and break the material into smaller pieces.
Cutting Machines
Identify what equipment is being described: CUTTING
These are used when a specific particle shape is required. They operate by slicing the material into smaller pieces using sharp blades or edges.
Attrition Mills
Identify what equipment is being described: ATTRITION
These involve the rubbing or grinding of particles against each other, leading to the removal of small fragments from the surface.
Impact Crushers
Identify what equipment is being described: IMPACT
These equipment use the principle of rapid impact to shatter the material, typically using hammers or blow bars.
Compression Crushers
Identify what equipment is being described: COMPRESSION
These apply force to the particles, causing them to fracture along their weakest planes.
Stressing mechanism
Size of feed & product
Material properties
Carrier medium
Mode of operation
Capacity
Combination with other unit ops.
What are the Factors Affecting the Choice of Machine? (7)
0.01 - 10 m/s
What is the range of velocity if the stress is applied between two surfaces at low velocity?
10 - 200 m/s
What is the range of velocity if the stress is applied between two surfaces at high velocity?
Jaw crusher
Gyratory crusher
Crushing roll machine
Horizontal table mill
Enumerate the comminution equipment for CRUSHING (mechanism 1) (4)
Hammer mill
Pin mill
Fluid energy mill
Enumerate the comminution equipment for HIGH VELOCITY IMPACT (mechanism 2) (3)
Sand mill
Colloid mill
Ball mill
Enumerate the comminution equipment for CRUSHING and IMPACT WITH ATTRITION (mechanism 1&2) (3)
Jaw Crusher
Identify what equipment is being described:
Behaves like a pair of giant nutcrackers. One jaw is fixed and the other, which is hinged at its upper end, is moved towards and away from the fixed jaw by means of toggles driven by an eccentric.
Gyratory Crusher
Identify what equipment is being described:
Has a fixed jaw in the form of a truncated cone. The other jaw is a cone which rotates inside the fixed jaw on an eccentric mounting
Crushing Roll Machine
Identify what equipment is being described:
Has two cylindrical rolls rotate in opposite directions, horizontally and side by side with an adjustable gap between them.
Horizontal Table Mill
Identify what equipment is being described:
The feed material falls on to the centre of a circular rotating table and is thrown out by centrifugal force. In moving outwards the material passes under a roller and is crushed
Hammer Mill
Identify what equipment is being described:
Consists of a rotating shaft to which are attached fixed or pivoted hammers. This device rotates inside a cylinder.
Pin Mill
Identify what equipment is being described:
Consists of two parallel circular discs each carrying a set of projecting pins. One disc is fixed and the other rotates at high speed so that its pins pass close to those on the fixed disc.
Fluid Energy Mill
Identify what equipment is being described:
Relies on the turbulence created in high velocity jets of air or steam in order to produce conditions for interparticle collisions which bring about particle fracture.
Fluid Energy Mill
Identify what equipment is being described:
These mills have a very high specific energy consumption and are subject to extreme wear when handling abrasive materials.
Sand Mill
Identify what equipment is being described:
Is a vertical cylinder containing a stirred bed of sand, glass beads or shot.
Colloid Mill
Identify what equipment is being described:
The feed in the form of a slurry passes through the gap between a male, ribbed cone rotating at high speed and a female static cone
Ball Mill
Identify what equipment is being described:
Is a rotating cylindrical or cylindrical–conical shell about half filled with balls of steel or ceramic.
1-0.1 m
Terminology Used in Comminution
Size range: __________
Term used: Coarse Crushing
Crushing
Terminology Used in Comminution
Size range: 0.1 m
Term used: __________
Fine crushing or coarse grinding
Terminology Used in Comminution
Size range: 1 cm
Term used: ___________
1 mm
Terminology Used in Comminution
Size range: __________
Term used: Intermediate grinding, milling
100 um
Terminology Used in Comminution
Size range: __________
Term used: Fine grinding
Ultrafine grinding
Terminology Used in Comminution
Size range: 10 um
Term used: _________
Crushers
Table mills
Edge runner mills
Categorizing Equipment according to product size:
Equipment that are DOWN TO 3 MM (3)
Ball mills
Rod mills
Pin mills
Tube mills
Vibration mills
Categorizing Equipment according to product size:
Equipment that are 3 MM - 50 UM (5)
Ball mills
Vibration Mills
Sand mills
Perl mills
Colloid mills
Fluid energy mills
Categorizing Equipment according to product size:
Equipment that are LESS THAN 50 UM (6)
a. Crushers (down to 3 mm)
Categorizing Equipment according to product size:
Which does not belong to the group
a. Crushers
b. Ball mills
c. Tube mills
d. Vibration Mills
d. Vibration mills (3mm-50um or less than 50 um)
Categorizing Equipment according to product size:
Which does not belong to the group
a. Crushers
b. Edge runner mills
c. Table mills
d. Vibration Mills
Hardness
Identify what Material Property is being described:
This property is a measure of the resistance to abrasion.
Graphite - ranked 1
Diamond - ranked 10
In the Mohs’ scale of hardness, graphite is rank number ____, and diamond is rank number ____.
Abrasiveness
Identify what Material Property is being described:
This is linked closely to hardness and is considered by some to be the most important factor in selection of commercial mills.
Toughness
Identify what Material Property is being described:
This is the property whereby the material resists the propagation of cracks.
Cohesivity/adhesivity
Identify what Material Property is being described:
The properties whereby particles of material stick together and to other surfaces.
TRUE
TRUE or FALSE. Decrease of particle size or increasing moisture content increases the cohesivity and adhesivity of the material.