1/20
Looks like no tags are added yet.
Name | Mastery | Learn | Test | Matching | Spaced | Call with Kai |
|---|
No analytics yet
Send a link to your students to track their progress
type 1 error
rejecting the null when the null hypothesis is true
type 2 error
FAILING to reject the null when the is actually false
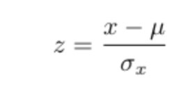
z score equation
x minus the mean over the standard deviation

steps for a one sample t test
find null hypothesis and alternative hypothesis
find t crit
find t obs
if |t obs| is bigger than |t crit| reject null hypothesis
steps for paired sample t test
find D aka mean of the DIFFERENCE of the scores
find the s_D aka the standard deviation of the difference of the scores
find tcrit
find t obs
if |t obs| > |t crit| reject the null hypothesis

what is n_D
number of pairs in paired t test

what is m_D_0
equals zero because we assume there is no change
steps in independent t test
null is the difference in means is equal to zero
find pooled variance and pooled standard deviation
find t crit
find t obs
if |t obs| > |t crit| reject null
what is pooled variance
weighted average of the 2 samples
when to use t-test over z-test
use t-test when you don’t know the population standard deviation
what is statistical power
probability of rejecting a false null hypothesis
what is cohen’s d
what are degrees of freedom
what is 𝛽
probability of failing to reject false null hypothesis
how to find 𝛽
which error is in the researchers control
type 1 error, because researcher sets alpha
𝑍 ∼ 𝑁(0, 1) in words
𝑋 ∼ 𝑁(132,12) in words
what is p-value
a 𝑝-value is the probability of observing a sample mean as extreme or more extreme than the one we got if the null hypothesis is true
interpreting p value
if p < a, reject null hypothesis
how to find degrees of freedom independent t test
add number of people in both groups together and subtract 2