1/33
Looks like no tags are added yet.
Name | Mastery | Learn | Test | Matching | Spaced | Call with Kai |
|---|
No analytics yet
Send a link to your students to track their progress
waveform
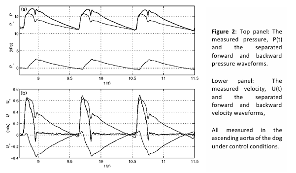
measured pressure and velocity measured
wave train
sinusoidal wave
wave front
incremental small change in pressure and/or velocity
wave
used with either a solitary small amplitude wave, or the accumulations of the same to produce wave intensity analysis peaks
what does a measured pressure or velocity waveforms can be considered as
consisting of two components, forward and backward waves

what does this schematic show
A schematic, observing the waves at different sites and times:
At time= t: site (1) only forward waves are seen at site (3) only backward can be seen.
At time= 𝑡 + ∆𝑡: site 2 both forward and backward waves interact
At time= 𝑡 + 2∆𝑡: site (1) only backward waves appear and at site (3) only forward waves
forward waves are
The convention is waves travelling from the heart towards the peripheries are FORWARD
backward waves are
wave travelling towards the heart are BACKWARD (REFLECTED)
riemann invariants on the respective forward and backward characteristics
d𝑅± =𝑑𝑈± + (𝑑𝑃± /𝜌𝑐) =0
therefore
d𝑃+ = 𝜌𝑐𝑑𝑈+
d𝑃− = 𝜌𝑐𝑑𝑈−

water hammer equations in the forward and backward directions
d𝑃+ = 𝜌𝑐𝑑𝑈+
d𝑃− = 𝜌𝑐𝑑𝑈−
what do the water hammer equations show
pressure and velocity waveforms in the arteries are inextricably dependent on each other; a change in one parameter will induce a change in the other, The equations also show that their is a linear relationship between dP and dU when waves are travelling unidirectionally
equation of the changes of pressure and velocity in the + and - directions are additive
d𝑃 =𝑑𝑃+ + 𝑑𝑃−
d𝑈 =𝑑𝑈+ + 𝑑𝑈−
the changes in pressure and velocity waveforms travelling in the + and - directions in terms of the measured waves
d𝑃+ =1/2 (𝑑𝑃 +𝜌𝑐𝑑𝑈)
dU+=1/2(dU+dP/pc) (opposite sign for opposite direction)

integrating the changes in pressure and velocity waveforms travelling in the + and - directions in terms of the measured waves
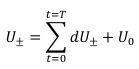
𝑃±(𝑡) = ∑𝑑𝑃±(𝑡)+𝑃0
Where t is time, 𝑇 is the duration of the cardiac cycle and 𝑃0 is an integration factor, which we can take as the diastolic pressure (usually only for the backward direction)


integrating the changes in velocity equations to obtain the velocity waveforms in the + and - backward direction
𝑈± =∑𝑑𝑈±+𝑈0
Where 𝑈0 is an integration factor. Note that during late diastole, the velocity in the arteries is usually near zero, so we take 𝑈0 = 0

derivation of diameter waveforms equation
see image

wave intensity
rate of energy transported by the wave per unit area (W/m²). The magnitude of wave intensity is calculated by multiplying the change in pressure by the change in velocity
wave intensity equation
dI=dPdU
disadvantage that its magnitude depends upon the sampling interval over which dP and dU are measured instead…
dI=dP/dt (dU/dt)
where 𝑑𝑃 𝑑𝑡 and 𝑑𝑈 𝑑𝑡 𝑑𝑈 𝑑𝑡 are the time derivatives (rather than differences).
This definition makes it easier to compare the magnitude of wave intensity between studies carried out using different sampling conditions. However, this definition has units of 𝑊/m²s², which have no direct physical meaning.
When is dI bigger than 0 and lower than 0
Forward waves: dI>0
Backward waves: dI<0
If there are simultaneous forward and backward waves in the artery the wave intensity is
algebraic sum of the wave intensities of the two wavefronts intersecting at the measurement site at the time of measurement
what does the sign of the net wave intensity reveals
if the forward or backward waves are dominant
dI=dI+ + dI-

compression wave
increases the pressure (dP>0) and accelerates the flow (dU>0); the analogy of blowing
expansion wave
decreases the pressure (dP<0) and decelerates the flow (dU < 0); the analogy of sucking
summary the common compression and expansion waves in arteries and their effects on the pressure, velocity and wave intensity
see table


If we consider a long fluid-filled tube and a piston pump is acting at either side of the tube at a time, and measurements are taken at the inlet of the tube, the following table describes the various effects of the movement of the piston (forward; BDC-TDC; compression, and backward; TDC-BDC; expansion) on the pressure, velocity and wave intensity – all whilst continuous flow is travelling through the tube.
see image of table

how wavefronts are described
It is useful and precise to describe these wavefronts as the change in properties during a sampling period ∆t
dP = P(t + ∆t) − P(t)v
dP depends upon the sampling period, dP will increase with smaller sampling rate. Note, a fully differential (dP/dt) will be independent from sampling rate

wave intensity equation
dI= dP dU

What is the order of FCW, BCW and FEW
The contraction of the heart in early systole generates a forward compression wave (FCW), which increases the pressure and accelerates the flow. The FCW travels through the arterial system and gets reflected, returning towards the heart as a backward travelling wave, and given and the pressure and velocity are increasing it is a compression wave (BCW). Finally, the heart starts to slow down the contraction, with a decreased pressure and decelerating velocity, generating a forward Expansion Wave (FEW).
clinical use of WIA: Forward Compression Wave
Forward Compression Wave
Time: Early systole
Clinical Indication: early Systolic function
clinical use of WIA: Forward Expansion Wave
Forward Expansion Wave
Time: Late systole
Clinical Indication: late systolic function
clinical use of WIA: Backward Compression Wave
Backward Compression Wave
Time: Mid systole
Clinical Indication: arterial stiffness
equations used for determining the separation of the pressure and flow velocity waveforms, can be used for the separation of the wave intensity into the forward and backward directions
d𝐼± = 𝑑𝑃±𝑑𝑈±
We have
d𝑃+=1/2 (dP+pcdU)
dU+=1/2 (dU+dP/pc) (opposite sign for backwards)
Therefore
𝑑𝐼+ = (1/4𝜌𝑐)(𝑑𝑃 +𝜌𝑐𝑑𝑈)² (opposite sign for backwards)

wave intensity calculation using measured diameter and velocity
ndI±=dD𝑈±dU𝑈±
where ndI is the noninvasive wave intensity; the traditional nomenclature of wave intensity (dI), is n used and adding (n) to make a distinction between the invasive and noninvasively calculations.
the separated ndI for forward and backward more explicitly of wave intensity
ndI±=± 1/4(D/2c)(dD±(D/2c) (dU))²
