1/26
Detta är ingen tilldelad uppgift bara jag som kämpar med att inte vara överdrivet petig med mina boxplots :)
Name | Mastery | Learn | Test | Matching | Spaced | Call with Kai |
|---|
No analytics yet
Send a link to your students to track their progress

Exempel från föreläsningen:
Vad kollar man efter med en sån här plot, och hur?
Uppfylls antagandena om detta är hur plotten ser ut?
Med en boxplot kollar man efter två saker:
Normalfördelad data - Om boxarna är symmetriska (att mediansträcket faktiskt delar boxarna ungefär på mitten) är datan normalfördelad.
Varians - Om boxarna är ungefär lika stora är det lika varians i båda grupperna.
Normalfördelning - JA
Varians - JA
GÖR PARAMETRISKT TEST!

Exempel från föreläsningen:
Vad kollar man efter med en sån här plot, och hur?
Uppfylls antagandena om detta är hur plotten ser ut?
Med en boxplot kollar man efter två saker:
Normalfördelad data - Om boxarna är symmetriska (att mediansträcket faktiskt delar boxarna ungefär på mitten) är datan normalfördelad.
Varians - Om boxarna är ungefär lika stora är det lika varians i båda grupperna.
Normalfördelning - JA
Varians - NEJ
GÖR WELSH T-TEST

Exempel från föreläsningen:
Vad kollar man efter med en sån här plot, och hur?
Uppfylls antagandena om detta är hur plotten ser ut?
Med en boxplot kollar man efter två saker:
Normalfördelad data - Om boxarna är symmetriska (att mediansträcket faktiskt delar boxarna ungefär på mitten) är datan normalfördelad.
Varians - Om boxarna är ungefär lika stora är det lika varians i båda grupperna.
Normalfördelning - NEJ
Varians - JA
TRANSFORMERA (log, sqrt), ALTERNATIVT WILCOXON T-TEST

Exempel från föreläsningen:
Vad kollar man efter med en sån här plot, och hur?
Uppfylls antagandena om detta är hur plotten ser ut?
Med en boxplot kollar man efter två saker:
Normalfördelad data - Om boxarna är symmetriska (att mediansträcket faktiskt delar boxarna ungefär på mitten) är datan normalfördelad.
Varians - Om boxarna är ungefär lika stora är det lika varians i båda grupperna.
Normalfördelning - JA
Varians - JA
GÖR EN ANOVA, MEN KOLLA DE DIAGNOSTISKA PLOTTARNA MED

Exempel från föreläsningen:
Vad kollar man efter med en sån här plot, och hur?
Uppfylls antagandena om detta är hur plotten ser ut?
Med en Residuals vs Fitted plot kollar man efter tecken på att variansen ökar med medelvärdet. Om det finns en “tratt” i plotten innebär det att antagandet om lika varianser inte uppfylls, och om man måste välja mellan en dålig Residual vs Fitted plot och en dålig Q-Q-plot väljer man en dålig Q-Q-plot. Denna är alltså “värre”
Normalfördelade residualer - JA
ANOVA MER SÄKER NU (Q-Q-plotten spelar också roll)

Exempel från föreläsningen:
Vad kollar man efter med en sån här plot, och hur?
Uppfylls antagandena om detta är hur plotten ser ut?
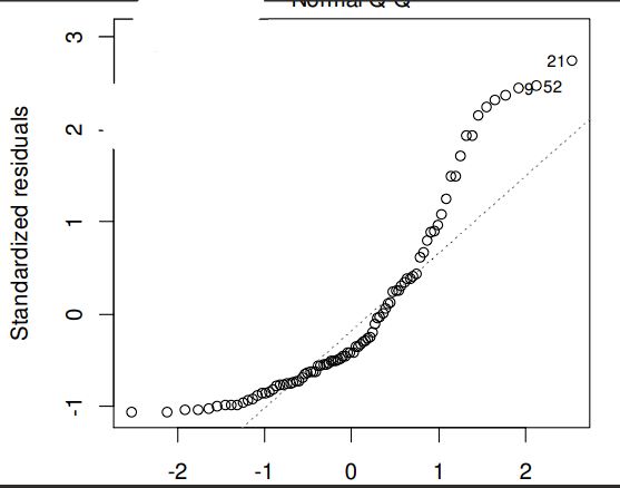
Med en Q-Q plot analyserar man om datan verkar normalfördelad. Om den inte är det kommer kurvan få en “S”-form. Om man måste välja mellan en dålig Residuals vs Fitted plot och en dålig Q-Q-plot väljer man en dålig Q-Q-plot. Denna är alltså “mildare”
Normalfördelade residualer - JA
ANOVA MER SÄKER NU (Residuals vs Fitted plotten spelar också roll)

Exempel från föreläsningen:
Vad kollar man efter med en sån här plot, och hur?
Uppfylls antagandena om detta är hur plotten ser ut?
Med en boxplot kollar man efter två saker:
Normalfördelad data - Om boxarna är symmetriska (att mediansträcket faktiskt delar boxarna ungefär på mitten) är datan normalfördelad.
Varians - Om boxarna är ungefär lika stora är det lika varians i båda grupperna.
Normalfördelning - NEJ
Varians - JA
GÖR ANOVAN, MEN HÅLL ETT BRA ÖGA PÅ DIAGNOSTIC PLOTS

Exempel från föreläsningen:
Vad kollar man efter med en sån här plot, och hur?
Uppfylls antagandena om detta är hur plotten ser ut?
Med en Residuals vs Fitted plot kollar man efter tecken på att variansen ökar med medelvärdet. Om det finns en “tratt” i plotten innebär det att antagandet om att lika varians inte uppfylls
Normalfördelade residualer - JA
ANOVA MER SÄKER NU (Q-Q-plotten spelar också roll)

Exempel från föreläsningen:
Vad kollar man efter med en sån här plot, och hur?
Uppfylls antagandena om detta är hur plotten ser ut?
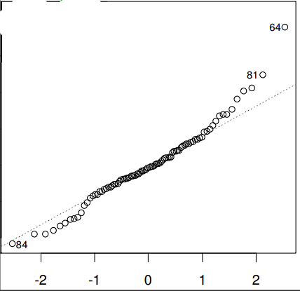
Med en Q-Q plot analyserar man om datan verkar normalfördelad. Om den inte är det kommer kurvan få en “S”-form. Om man måste välja mellan en dålig Residuals vs Fitted plot och en dålig Q-Q-plot väljer man en dålig Q-Q-plot. Denna är alltså “mildare”
Normalfördelade residualer - NEJ
TRANSFORMERA DATAN (log, sqrt), I VÄRSTA FALL KRUSKAL-WALLIS ANOVA

Exempel från föreläsningen:
Vad kollar man efter med en sån här plot, och hur?
Uppfylls antagandena om detta är hur plotten ser ut?
Med en boxplot kollar man efter två saker:
Normalfördelad data - Om boxarna är symmetriska (att mediansträcket faktiskt delar boxarna ungefär på mitten) är datan normalfördelad.
Varians - Om boxarna är ungefär lika stora är det lika varians i båda grupperna.
Normalfördelning - JA
Varians - NEJ
GÖR ANOVAN, MEN HÅLL ETT BRA ÖGA PÅ DIAGNOSTIC PLOTS

Exempel från föreläsningen:
Vad kollar man efter med en sån här plot, och hur?
Uppfylls antagandena om detta är hur plotten ser ut?
Med en Residuals vs Fitted plot kollar man efter tecken på att variansen ökar med medelvärdet. Om det finns en “tratt” i plotten innebär det att antagandet om lika varianser inte uppfylls, och om man måste välja mellan en dålig Residual vs Fitted plot och en dålig Q-Q-plot väljer man en dålig Q-Q-plot. Denna är alltså “värre”
Normalfördelade residualer - NEJ
TRANSFORMERA DATAN (log, sqrt), ANNARS WELCH F-TEST, GENERALIZED LINEAR MODELS ELLER PERMUTATIONSTESTER

Exempel från föreläsningen:
Vad kollar man efter med en sån här plot, och hur?
Uppfylls antagandena om detta är hur plotten ser ut?
Med en Q-Q plot analyserar man om datan verkar normalfördelad. Om den inte är det kommer kurvan få en “S”-form. Om man måste välja mellan en dålig Residuals vs Fitted plot och en dålig Q-Q-plot väljer man en dålig Q-Q-plot. Denna är alltså “mildare”
Normalfördelade residualer - JA
ANOVA MER SÄKER NU(Residuals vs Fitted plotten spelar också roll)

Exempel från föreläsningen:
Vad kollar man efter med en sån här plot, och hur?
Uppfylls antagandena om detta är hur plotten ser ut?
Man kollar efter normalfördelning med hjälp av boxplotsen och ett linjärt samband med scatterplotten (kollar antaganden för korrelation).
Linjärt samband - JA
Normalfördelning - JA
KORRELATIONEN KAN ANVÄNDAS

Exempel från föreläsningen:
Vad kollar man efter med en sån här plot, och hur?
Uppfylls antagandena om detta är hur plotten ser ut?
Man kollar efter normalfördelning med hjälp av boxplotsen och ett linjärt samband med scatterplotten (kollar antaganden för korrelation).
Linjärt samband - JA
Normalfördelning - NEJ
TRANSFORMERA DATAN (sqrt, log)

Exempel från föreläsningen:
Vad kollar man efter med en sån här plot, och hur?
Uppfylls antagandena om detta är hur plotten ser ut?
Man kollar efter normalfördelning med boxplotsen och ett linjärt samband med scatterplotten (kollar antaganden för regression)
Linjärt samband - JA
Normalfördelning - JA
KOLLA DIAGNOSTISKA PLOTTAR, MEN ÄR LOVANDE

Exempel från föreläsningen:
Vad kollar man efter med en sån här plot, och hur?
Uppfylls antagandena om detta är hur plotten ser ut?
a

Exempel från föreläsningen:
Vad kollar man efter med en sån här plot, och hur?
Uppfylls antagandena om detta är hur plotten ser ut?
a

Exempel från föreläsningen:
Vad kollar man efter med en sån här plot, och hur?
Uppfylls antagandena om detta är hur plotten ser ut?
a

Exempel från föreläsningen:
Vad kollar man efter med en sån här plot, och hur?
Uppfylls antagandena om detta är hur plotten ser ut?
a

Exempel från föreläsningen:
Vad kollar man efter med en sån här plot, och hur?
Uppfylls antagandena om detta är hur plotten ser ut?
a

Exempel från föreläsningen:
Vad kollar man efter med en sån här plot, och hur?
Uppfylls antagandena om detta är hur plotten ser ut?
a

Exempel från föreläsningen:
Vad kollar man efter med en sån här plot, och hur?
Uppfylls antagandena om detta är hur plotten ser ut?
a

Exempel från föreläsningen:
Vad kollar man efter med en sån här plot, och hur?
Uppfylls antagandena om detta är hur plotten ser ut?
a

Exempel från föreläsningen:
Vad kollar man efter med en sån här plot, och hur?
Uppfylls antagandena om detta är hur plotten ser ut?
a

Exempel från föreläsningen:
Vad kollar man efter med en sån här plot, och hur?
Uppfylls antagandena om detta är hur plotten ser ut?
a

Exempel från föreläsningen:
Vad kollar man efter med en sån här plot, och hur?
Uppfylls antagandena om detta är hur plotten ser ut?
a

Exempel från föreläsningen:
Vad kollar man efter med en sån här plot, och hur?
Uppfylls antagandena om detta är hur plotten ser ut?
a