1/54
Looks like no tags are added yet.
Name | Mastery | Learn | Test | Matching | Spaced | Call with Kai |
|---|
No analytics yet
Send a link to your students to track their progress
Sandwich Theorem
a function f that is sandwiched between two other functions, g and h. If g and h have the same limit as x approaches c, then f (the middle function) has that limit too

average rate of change
dividing distance by the time interval.
Slope of secant line between two points, used to estimate instantaneous rate of change at a point.

instantaneous rate of change
The rate of change, or slope of a tangent line, or value of the derivative, at a point of a graph.
h= a very small change in time, but it cant be 0 bc itll be undefined.

Intermediate Value Theorem
If a function is continuous between a and b, then it takes on every value between f(a) and f(b)
if f is a continuous function on the closed interval [a, b] and d is a number between f (a) and f (b), then the Intermediate Value Theorem guarantees that there is at least one number c between a and b, where f (c) = d.
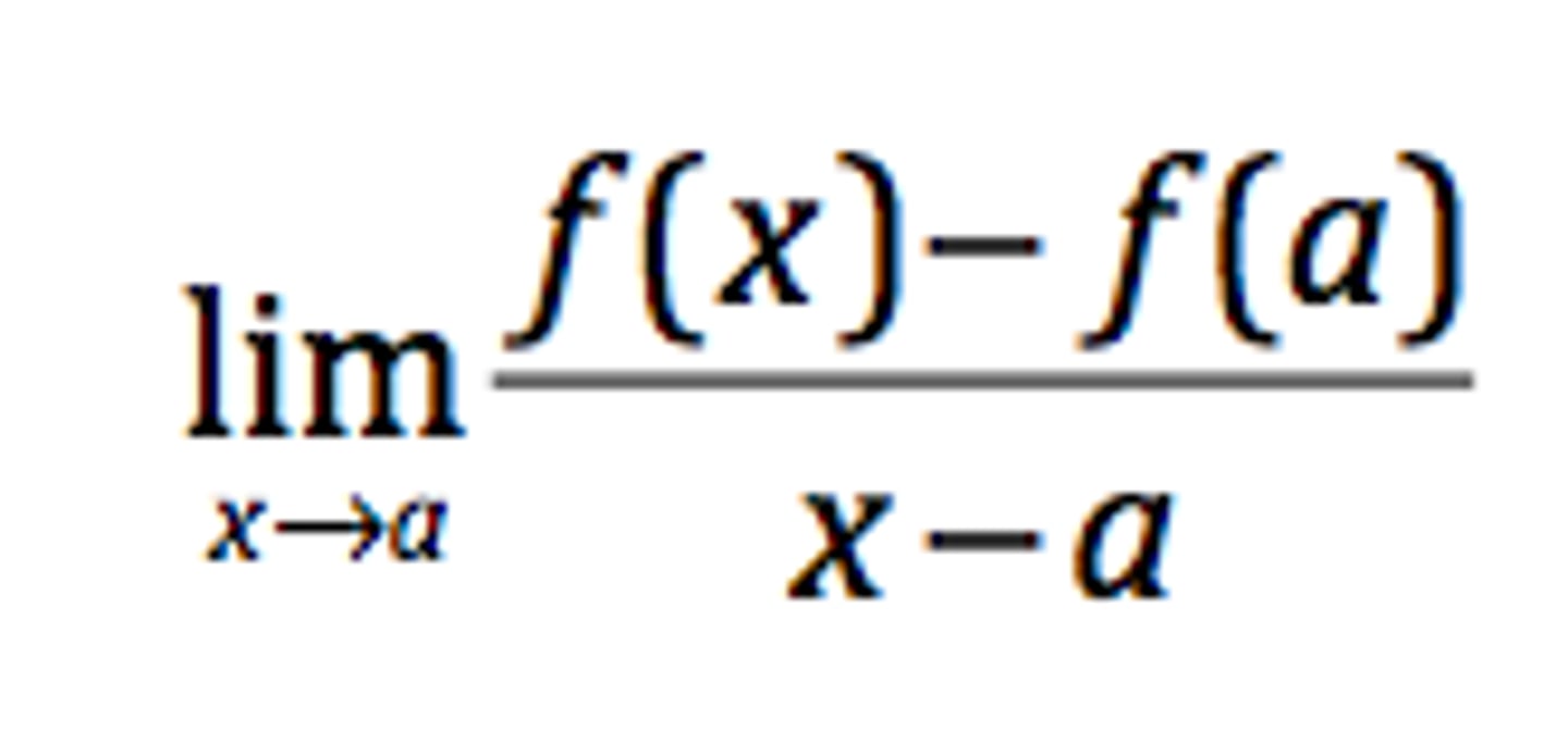
Derivative at a point
limit as x approaches a of [f(x)-f(a)]/(x-a)
![<p>limit as x approaches a of [f(x)-f(a)]/(x-a)</p>](https://knowt-user-attachments.s3.amazonaws.com/d649bd4e-800a-4cec-8302-07ba397dd3d5.jpg)
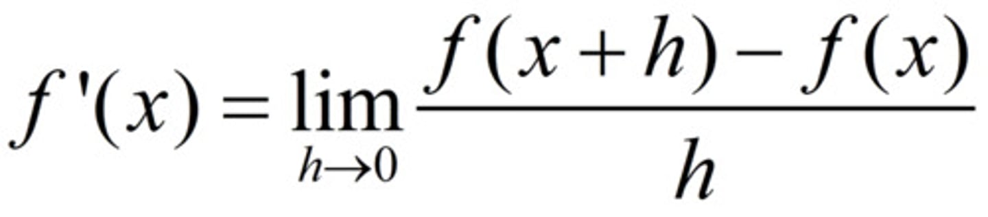
Formal definition of derivative
IRC formula.
limit as h approaches 0 of [f(a+h)-f(a)]/h
![<p>IRC formula.</p><p>limit as h approaches 0 of [f(a+h)-f(a)]/h</p>](https://knowt-user-attachments.s3.amazonaws.com/85fd724f-dd19-404c-bf8a-edc3d2dfb25d.jpg)
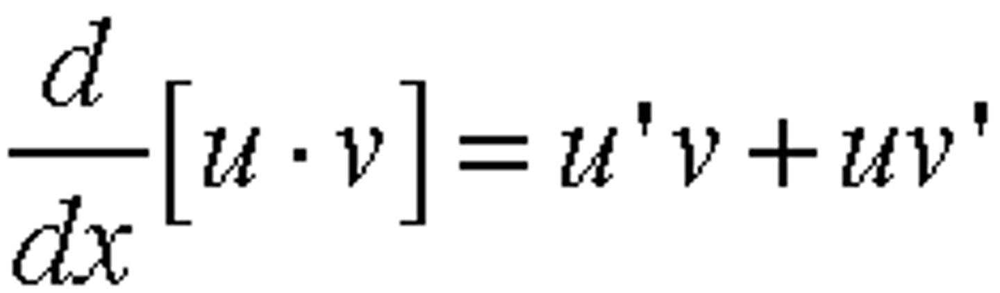
Product Rule
u'v + uv'

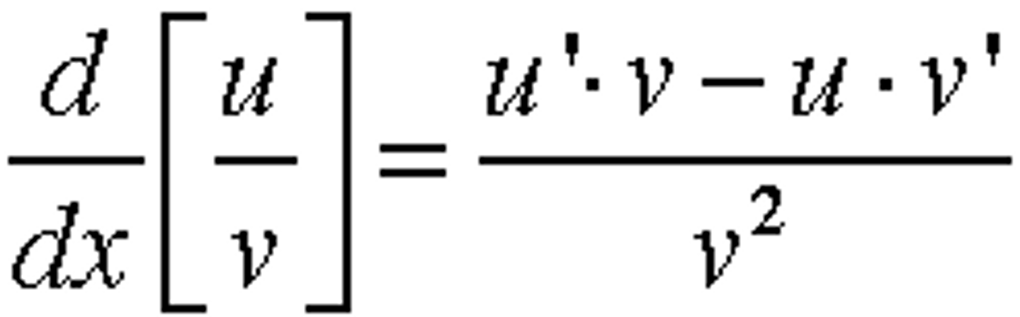
Quotient Rule
(u'v-uv')/v²

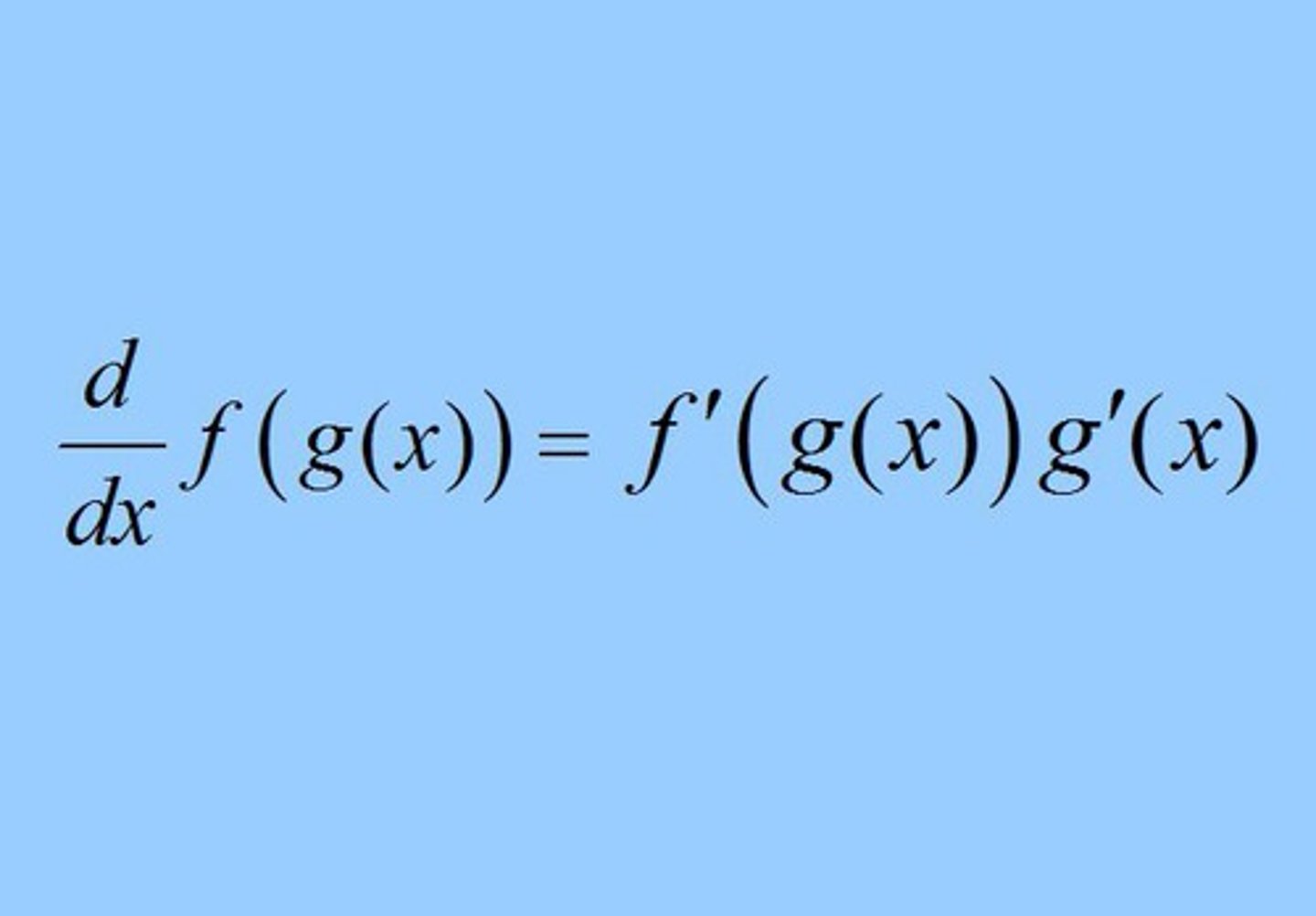
Chain Rule
f '(g(x)) g'(x)

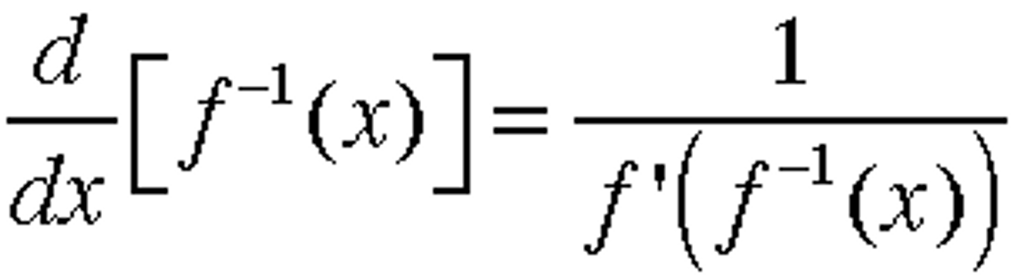
derivative of inverse

average velocity
∆s/∆t

Instantaneous velocity
Derivative of position s(t) at a point.
ds/dt

speed
Absolute value of velocity.
|v(t)|
Acceleration
derivative of velocity. (units= m/s²)

first derivative test for local extrema
For a continuous function f:
1) If f' changes sign, f has a local maximum or minimum value at c
2) If f' does not change sign at a critical point c, then f has no local extreme values at c

Second Derivative Test for local extrema
1. if f'(c)=0 and f''(c)>0, then f has local minimum at c. Concave up.
2. if f'(c)=0 and f''(c)<0, then f has a local maximum at c. Concave down.
3. FAILS if f''(c) = 0 or if f''(c) DNE
HOW TO USE SECOND DERIVATIVE TEST
1. use first derivative to find critical points
2. sub critical points into second derivative. if f''(x)<0, it is concave down, and a MAX.
Intermediate Value Theorem for Derivatives
If f is differentiable on [a,b], then f'(x) takes on all values between f'(a) and f'(b).
mean value theorem
CHECK CONDITIONS FIRST
if f(x) is continuous on the closed interval and differentiable on the open interval,,,,,, the slope of tangent line equals the slope of the secant line (secant line goes through 2 points), at least once in the interval (a, b)
f '(c) = [f(b) - f(a)]/(b - a)
IRC=ARC : Mean Value Theorem
![<p>CHECK CONDITIONS FIRST</p><p>if f(x) is continuous on the closed interval and differentiable on the open interval,,,,,, the slope of tangent line equals the slope of the secant line (secant line goes through 2 points), at least once in the interval (a, b)</p><p>f '(c) = [f(b) - f(a)]/(b - a)</p><p>IRC=ARC : Mean Value Theorem</p>](https://knowt-user-attachments.s3.amazonaws.com/2f1814ab-e91c-4f91-9fcf-298e1ca15b45.jpg)
mean value theorem for derivatives
IRC = ARC
continuous on closed, differentiable on the open. ALWAYS CHECK CONDITIONS. ONLY WORKS ON CLOSED INTERVALS

Extreme Value Theorem
If f is continuous over a CLOSED interval, then f has at LEAST one maximum and minimum value over that interval

Rolle's Theorem
If f(x) is continuous on the closed interval [a,b], AND differentiable on the open (a,b), AND f(a)=f(b), then there is at least one number x=c in (a,b) where f'(c)=0
![<p>If f(x) is continuous on the closed interval [a,b], AND differentiable on the open (a,b), AND f(a)=f(b), then there is at least one number x=c in (a,b) where f'(c)=0</p>](https://knowt-user-attachments.s3.amazonaws.com/010c4719-0318-4a0f-a17b-15c6e5d54b2c.png)
rectangle surface area formula
SA = 2lw + 2wh + 2lh
right cylinder surface area formula
SA= 2πrh + 2πr²
right cylinder with no top surface area formula
SA= 2πrh + πr²
open top and square base surface area formula
SA= x² +4xh
sphere surface area formula
SA= 4πr²
right cylinder volume formula
V= πr²h

right cylinder with no top volume formula
V= πr²h (the same)
sphere volume formula
V = 4/3πr³

cone volume formula
V = 1/3πr²h

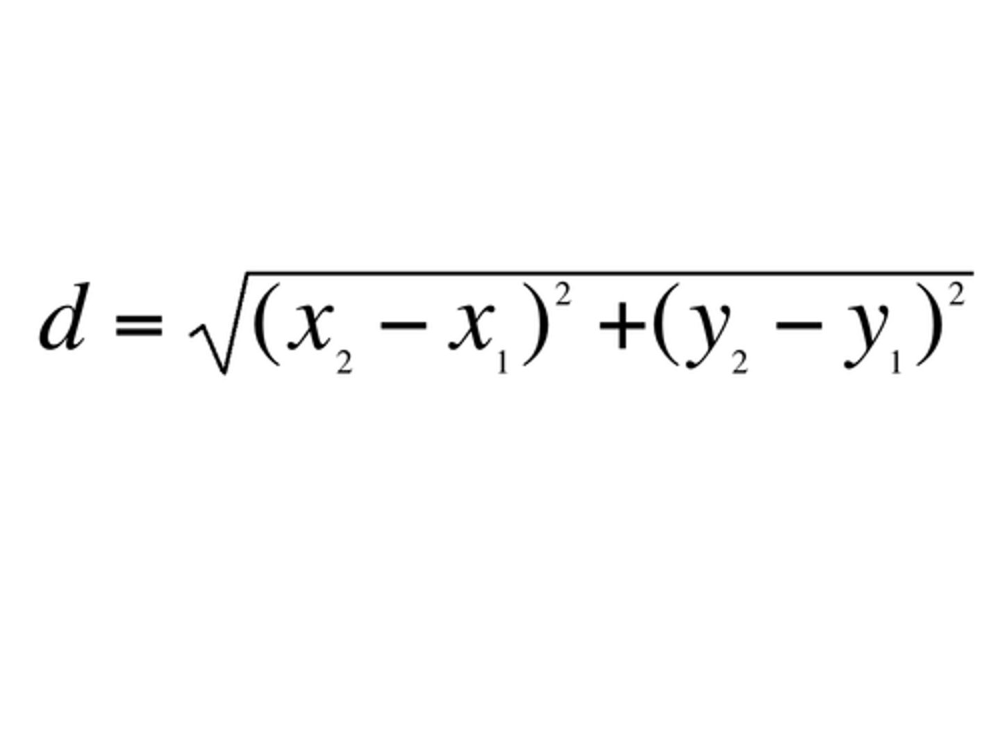
distance formula
√(x₂-x₁)²+(y₂-y₁)²

left riemann sum
use rectangles with left-endpoints to evaluate an integral (estimate area)
◦ UNDERESTIMATE OF AREA UNDER CURVE IF CURVE IS INCREASING
◦ OVERESTIMATE OF AREA UNDER CURVE IF CURVE IS DECREASING
◦ Interval *(adding up all y values on curve that the left side of rectangle touches. add all y values except last one)

right riemann sum
use rectangles with right-endpoints to evaluate an integral (estimate area)
◦ UNDERESTIMATE OF AREA UNDER CURVE IF CURVE IS DECREASING
◦ OVERESTIMATE OF AREA UNDER CURVE IF CURVE IS INCREASING
◦ Interval *(adding up all y values on curve that the right side of rectangle touches. add all y values except the first)

Midpoint Riemann Sum
midpoint of rectangle touches the curve.
length of interval*(all y values on curve that the midpoint of the rectangle touches)

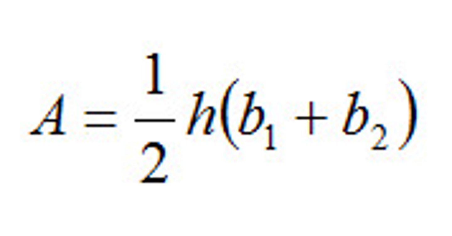
area of each trapezoid
interval/2 * (b₁+b₂)

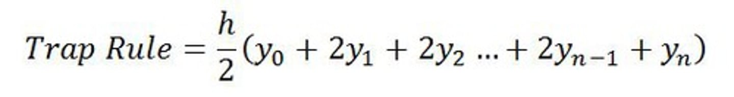
trapezoidal rule
use trapezoids to evaluate integrals (estimate area).
average of LRAM and RRAM.
(interval/2) * (y0 +2y1 + 2y2 + 2y3 ... + yn)
overestimates the integral where the graph is concave up, and underestimates the integral where the graph is concave down.

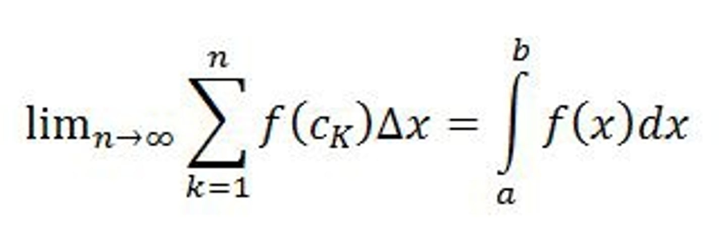
definite integral
has upper and lower bounds a & b. find antiderivative, F(b) - F(a)

area under a curve
∫ f(x) dx
integrate over interval a to b
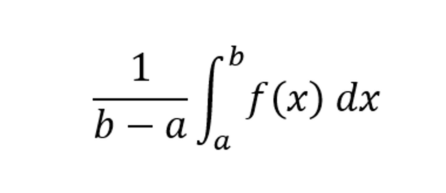
average value of f(x)
1/(b-a) * ∫ f(x) dx on the interval a to b

Mean Value Theorem for Definite Integrals
average value of integral = actual value. MUST check conditions (continuous on closed interval)

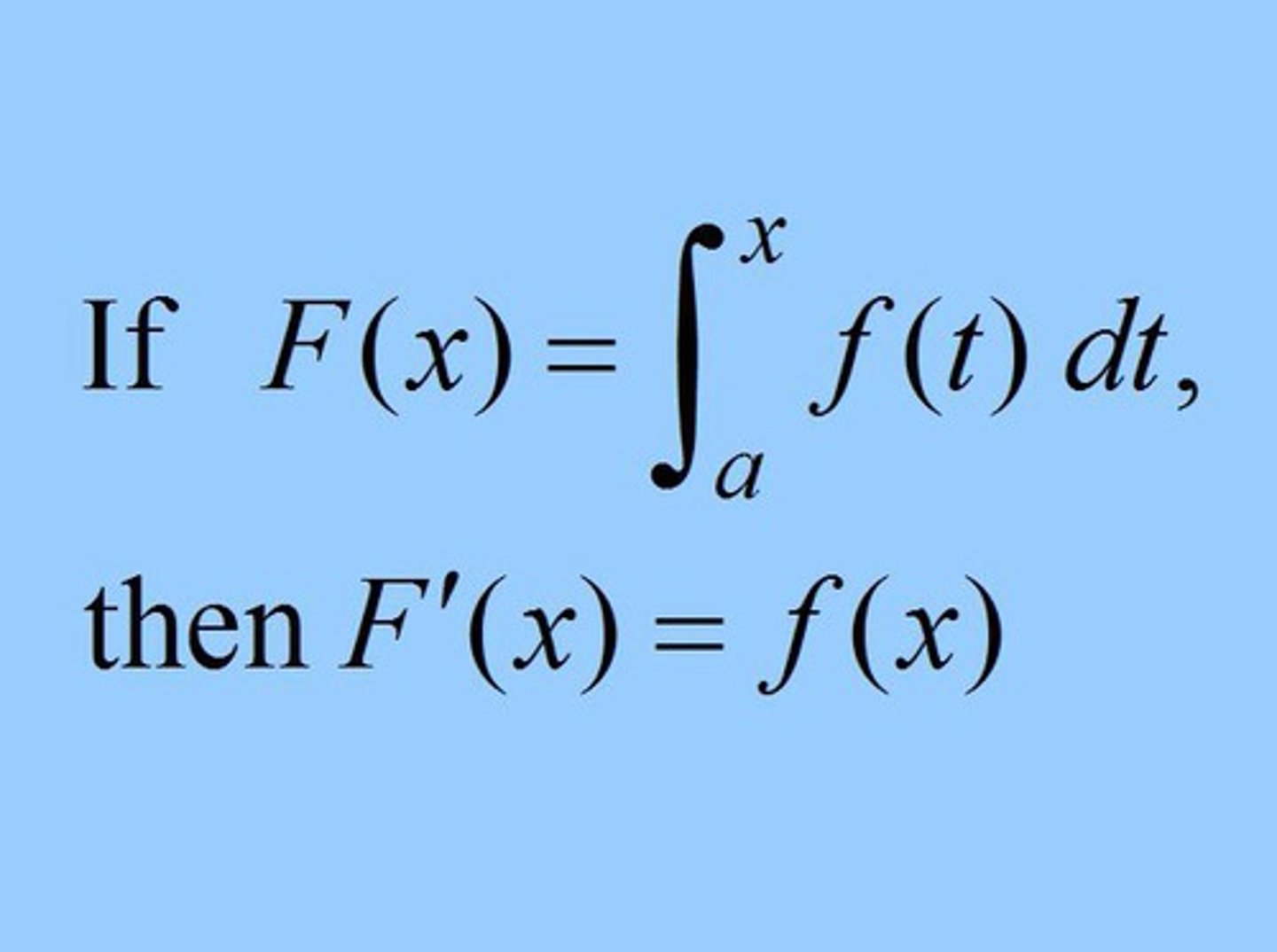
If g(x) = ∫ f(t) dt on the interval 2 to x, then g'(x) =
g'(x) = f(x)

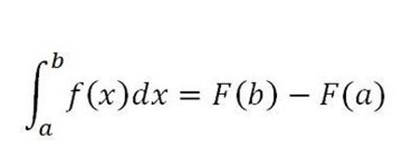
Fundamental Theorem of Calculus
∫ f(x) dx on interval a to b = F(b) - F(a).

Fundamental Theorem of Calculus part 2
• variable in derivative (usually d/dx) matches the variable (upper bound) in the integral symbol
• lower limit is a constant, upper limit is a variable
• we have an integral and a derivative

Integration by parts formula
∫u dv= uv-∫vdu
u= use LIPET
dv= rest of integrand given

exponential growth equation
k= constant of proportionality.
used if y changes at a rate proportional to the amount present

exponential differential equation
dP/dt= kP

logistic growth equation
P = M / (1 + Ae^(-Mkt))
M= carrying capacity
k= growth constant
A= a constant

logistic differential equation
2 logistic differential equations:
dP/dt = kP(M - P)
AND
dP/dt = kP(1-P/M)
M = carrying capacity
k= proportionality constant
P= population

area between two curves (dx)
∫ f(x) - g(x) over interval a to b
f(x) is top function and
g(x) is bottom function
(dx: vertical strips)

area between two curves (dy)
dy= horizontal strips bc width of horizontal strip=dy
∫ f(x) - g(x) over interval a to b
f(x) is right function and
g(x) is left function
1. solve the equations to be x=, so you can have it in terms of dy
2. find y values of intersections (these will be bounds for integral)
3. subtract RIGHT - LEFT functions

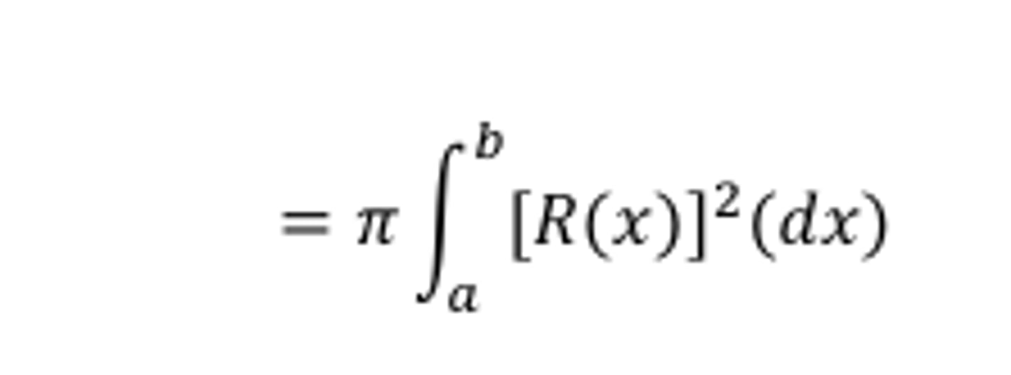
volume of solid of revolution - disks
π ∫ r² dx over interval a to b
r = distance from curve to axis of revolution

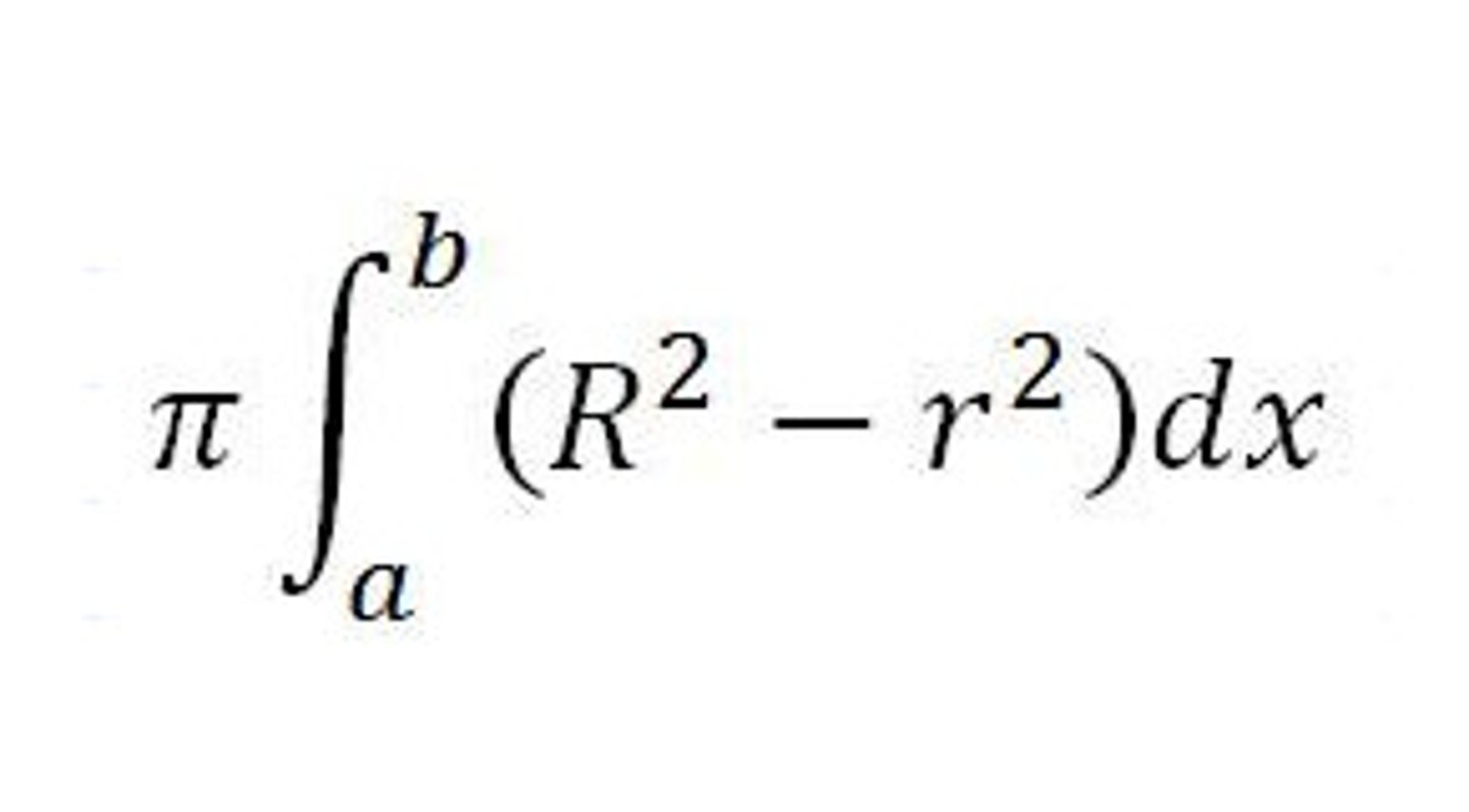
volume of solid of revolution - washers
π ∫ R² - r² dx over interval a to b
R = farthest distance from outside curve to axis of revolution,
r = closest distance from inside curve to axis of revolution

Shells Method
V= 2π ∫R(x) * h(x) dx

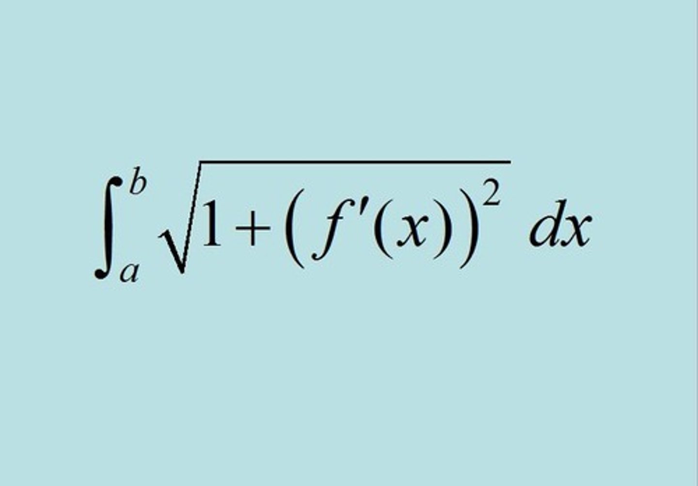
length of curve for rectangular functions
∫ √(1 + (dy/dx)²) dx over interval a to b

L'Hopitals rule
used to find limits when substitution gives you 0/0 or ∞/∞
find derivative of numerator and denominator separately, then evaluate limit
