1/71
Looks like no tags are added yet.
Name | Mastery | Learn | Test | Matching | Spaced | Call with Kai |
|---|
No analytics yet
Send a link to your students to track their progress
what is rotational motion?
motion of a single particle constrained to move around a central point and at a fixed distance from it
what type of motion is rotational? potential?
periodic motion on a flat potential
show 2D and 3D rotational motion
2D- circular motion of a particle on a ring
3D- motion of a particle on the surface of a sphere


can the particle move freely?
yes as there is no potential energy gradient pushing it one way or another
particle doesn’t interact with anything as it moves
nothing to speed it up or slow it down
potential is constant (flat) = 0
what are the similarities and differences between translation and rotation?
both have motion on a flat potential
rotation has periodic boundary conditions
after gone all the way around, it is back where its started
motion is never reversed (no walls to bounce off)
for particle on a ring, show diagram
what are the fixed values?
what is the variable value? how does this change after a full cycle?
V potential energy = 0 everywhere
movement east to west
after a full cycle, ϕ has changed by 2π

for particle on a sphere, show diagram
what are the fixed values?
what are the variables? how does this change?
at θ=0 you’re at the North Pole, at θ=π you’re at South Pole


what is the solution when you solve the Schrödinger equation for a H atom?
the angular part of the solution is what you get from the particle on a sphere
show rotational motion of a diatomic molecule. show θ,𝜙 and μx
what is this called?
two atoms form a rigid rotor
same as a particle with mass μ rotating at a fixed distance r from the centre of mass

what happens when the rigid rotor absorbs or emits microwave radiation?
undergoes rotational transitions
jumping from one rotational EL to another
show rigid rotor diagram in 2D and show r, x and m
show relevant equations 2

what is angular momentum in simple terms?
how hard it is to stop movement
explain quantisation in rotational motion?
energy and angular momentum are quantised
caused by cyclic boundary conditions
is the ZPE in rotational motion?
no - a rotating particle can stay still
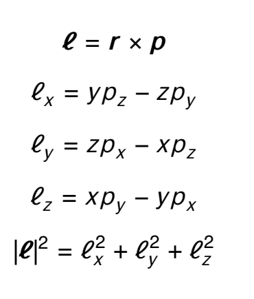
what is angular momentum in classical mechanics?
the vector product of the position vector and the momentum vector
it is perpendicular to the plane of rotation
what is the right hand rule?
thumb points in the direction of angular momentum

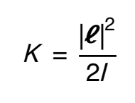
what is kinetic energy for a particle constrained to move at a fixed distance r from the origin? how is this similar to translational?
KE directly related to the magnitude of angular momentum
for translational: K=|p|2/2m
moment of inertia I=mr2 plays the role that mass plays in translation

show the angular momentum equations and overall modulus

how is particle in a box, particle on a ring/sphere similar in terms of energy and separation of variables?
for all 3, total energy is kinetic and so separation of variables remains applicable
potential energy = 0

explain separation of variables
particle in a box - hamiltonian sum of two kinetic energy operators (motion along x and y). because it is a sum of individual terms, separation of variables applies
on a ring - only one variable 𝜙 so there is nothing to separate. hamiltonian is KE operator for motion along 𝜙 direction
on a sphere - two variables. hamiltonian is the sum of 2 kinetic operators (one for each direction)
how does KE separation affect the wavefunction?
because KE separates into independent terms for each variable, the wavefunction can be written as a product of functions (each depending on one variable)
what is the kinetic and p operators for motion along x for particle in a box?


how does this differ from particle on a ring?
KE involves angular momentum

which direction is angular momentum direction?
what is plane of rotation? what does this mean about the angular momentum components?
angular momentum assumed to be z direction
plane of rotation is xy plane
components of the angular momentum along x and y are both zero


what can you say about the uncertainty principle in this case?
components of angular momentum along x and y are zero
however this is forbidden by the uncertainty principle = major reason why this is not used for practical applications

how is this written for particle on a ring? what can be said about it?
angular momentum vector ℓ points along ±z so only need to consider ℓz
magnitude coincides with the magnitude of ℓ


how does this change for particle on a sphere?
ℓ can point anywhere so have to consider all components
angular momentum again replaces linear momentum

what are the boundary conditions for particle on a ring?
no walls so particle moves freely around the circle
there is a constraint - after going all the way around, it must be back where it started
restarts the cycle - angle 𝜙 and angle 𝜙+2π describe the same point

for particle on a ring, what type of boundary conditions is it? what is the period?
periodic/cyclic
wavefunction repeats itself with a period of 2π

what is the periodicity requirement for particle on a sphere?
if you start at a point with particle values of θ and 𝜙, you go to the opposite side of the sphere by flipping θ to -θ, and you get back to the starting point by adding π to 𝜙


what is the consequence of this periodicity?
gives rise to quantisation of angular momentum and therefore quantisation of energy
only certain values of the angular momentum are allowed - those for which the wavefunction repeats properly after a full cycle

how does this differ from Hψ=Eψ?
particle on a ring = single quantum number mℓ ; hamiltonian is KE operator for that dimension
same eigenvalue equation used for particle in a 1D box but wavefunction is constrained by different values

explain this
hamiltonian is sum of KE operators for each direction
wavefunction is the product of 1D wavefunctions
energy is the sum of the energies due to the motion along each direction

explain this
what is Y? separation?
what does the energy depend on?
two dimensions and two quantum numbers - ℓ and mℓ
Y term is the wavefunction and separates into the Θ term as shown
separation works differently because of the geometry of the sphere. the wavefunctions differ in more than just their variables
energy depends on only one of the quantum numbers (ℓ)
what is the wavefunction restricted by?
where the particle can go and how it can move
for a particle in a 1D box, is a direction of motion preferred?
what are the wavefunctions superpositions of? degeneracy? what is
no direction of motion preferred - particle must bounce back and forth between the walls
wavefunctions are equally weighed superpositions of two momentum eigenfunctions (motion in opposite directions - towards x=L or x=0)
same magnitude of linear momentum
there is no room for degeneracy
how is a the superposition of momentum eigenfunctions written?


for particle in a 1D box, what does this mean?
the wavefunction is a superposition of 2 momentum eigenfunctions
= motion in opposite directions with equal magnitudes of linear momentum
this means average momentum = 0
there is no preferred direction
how does particle on a ring differ from a 1D box? motion and direction?
it can stay still and it can have a preferred direction of motion
either clockwise or anticlockwise
when does a particle on a sphere stay still? what does this imply?
mℓ = 0 which implies the wavefunction is a constant - doesnt change with ϕ
what are the two justifications for the particle on a sphere wavefunction not changing with ϕ (ie constant wavefunction)?
KE and momentum
constant wavefunction satisfies the boundary conditions. as it has 0 curvature, it describes a state with no kinetic energy (i.e. a state that is still)
a constant wavefunction implies equal probability for the particle to be anywhere in the space available. the uncertainty in ϕ is infinite so the uncertainty in the angular momentum is 0. the angular momentum can be exactly 0
show the values of mℓ when the wavefunction is clockwise and anticlockwise for particle on a ring
is this increasing or decreasing ϕ values?
if mℓ > 0, the particle moves towards increasing ϕ values

what can be said about mℓ ≠ 0 for particle on a ring?
complex valued
must be the case when a quantum system has a preferred direction of motion
what are the 2 quantum numbers for particle on a sphere? what do they mean?
ℓ specifies the magnitude of the angular momentum (how fast the particle is moving and what KE it has)
mℓ specifies the value of the z component of the angular momentum
the plane and direction of rotation
how do ℓ and mℓ affect each other?
the value of ℓ limits how large |mℓ| can be

why does the value of ℓ limit |mℓ|?
the projection of ℓ on the z axis (given by mℓħ) can’t have a magnitude > ℓ


what does this simplify to?


what is the energy in a 1D box proportional to? what are the terms?
(n/2L)2
2L is the distance of a complete cycle
proportionality constant is h2/2m
particle in a 1D box - how do boundary conditions affect the wavefunction? ZPE? uncertainty?
boundary conditions force the wavefunction to have curvature - must always have kinetic E
the system has ZPE (can’t be still)
uncertainty in position is not infinite (can be neither at x≥L or x≤0) - we cannot know the momentum with 0 uncertainty
momentum cannot be exactly zero
particle in a 1D box - is there a preferred direction of motion? how does flipping the sign of the quantum number affect it?
no preferred direction of motion
flipping the sign of the quantum number cannot lead to a different state
state in which the direction of motion is reversed

what can this be simplified to?


for particle on a ring, what is energy proportional to?
(mℓ/2πr)2
2πr is the distance the particle moves as it completes a cycle
proportionality constant is h2/2m
how does flipping the sign of the quantum number affect particle on ring?
if mℓ ≠ 0 - a direction of motion is preferred
flipping the sign of the quantum number leads to a different state in which the direction of motion is reversed
show EL diagram for particle on a ring
explain degeneracy
all excited ELs are doubly degenerate (anti and clockwise)


how can this be simplified?


what is E proportional to for particle on a sphere?
ℓ(ℓ+1)/(2πr)2

what is the magnitude of ℓ for ring vs sphere?
ring is ħ|mℓ|
sphere is ħ √(ℓ(ℓ+1))
when is the particle still on a sphere?
the ground state
ℓ = mℓ = 0
explain what ℓ and mℓ determine and how this impacts degeneracy?
ℓ determines the magnitude of ℓ and therefore E
the mℓ determines the value of ℓz (associated with plane and direction of rotation but no impact on E)
degeneracy of each EL is given the number of difference values that mℓ can take (2ℓ + 1)
show EL diagram for particle on a sphere
explain degeneracy
degeneracy is the number of values that mℓ can take = (2ℓ + 1)

what does space quantisation mean?
for a rotating object, only certain modes of rotation are allowed
what is allowed is completely independent of what the object is
suggests the space in which the object rotates is quantised rather than the rotation of the object itself
what does space quantisation restrict?
how rotation can be oriented relative to a specified axis
only certain angles are allowed
why is there uncertainty in the direction of angular momentum?
we can know the magnitude of the angular momentum exactly
we can know one component
we fundamentally cannot know the other two at the same time (forbidden by the uncertainty principle)
what two things about rotational motion can be specified simultaneously?
the magnitude of the angular momentum vector |ℓ|
z component of that vector (projection onto the z axis) ℓz
what is the relationship between angular momentum and position?
what is it analogous to?
they cannot be specified simultaneously to arbitrary precision
analogous to the relation between momentum and position

if ℓ = 2, what is |ℓ|? what is the direction? show the vectors and explain the angles
|ℓ| = 61/2ħ (length of arrow)
for mℓ = 0, the projection of ℓ on the quantisation axis (z) is 0
perpendicular
if mℓ = ± 2, ℓ gets as close to z as it can, points upwards when mℓ>0 and down when <0
the angle between the vector and z is as small as it gets
if mℓ = ± 1, ℓ doesnt get as close as to z, but is not perpendicular
the angle between ℓ and z is smaller than 90 but not as small as mℓ = ± 2


how many allowed values of mℓ are there? what does this mean about orientation?
there are 2ℓ+1 allowed values (from - ℓ to + ℓ )
this means there are 2ℓ+1 values for the z component of angular momentum
since z component determines angle between vector and z axis, there are 2ℓ+1 orientations
given that the magnitude of the angular momentum vector is |ℓ| = ħ √(ℓ(ℓ+1)) and the projection onto the x axis is ℓz = mℓħ
how can this be drawn as a triangle? what is the expression for the angle?


why is this diagram of angular momentum direction incorrect? use ℓ=2 and mℓ=0 to explain
the uncertainty relations
none of the commutators is zero so no two angular momentum components commute
if you know ℓz exactly (no uncertainty), you cannot know ℓx or ℓy
if the x axis is perpendicular to the page and y is horizontal, the diagram suggests that when ℓ=2 and mℓ=0, ℓx = 0, ℓy=61/2ħ and ℓz = 0

what model can be used instead?


what is z? what is magnitude? what is the angle between ℓ and z? what are x and y? which components are defined?
z is well defined - the height of the cone mℓħ
magnitude is well defined - slant height of the cone ħ √(ℓ(ℓ+1))
the angle is well defined - angle between the height and slant height of the cone
x and y are completely uncertain
what does uncertainty in direction of ℓ imply?
uncertainty about the location of the plane of rotation
= perpendicular to ℓ