1/124
Looks like no tags are added yet.
Name | Mastery | Learn | Test | Matching | Spaced | Call with Kai |
|---|
No analytics yet
Send a link to your students to track their progress
22
4
3²
9
4²
16
5²
25
6²
36
7²
49
8²
64
9²
81
10²
100
11²
121
12²
144
6 × 7
42
6 × 8
48
6 × 9
54
6 × 12
72
7 × 4
28
7 × 8
56
7 × 12
84
8 × 4
32
8 × 9
72
8 × 12
96
9 × 6
54
9 × 12
108
11 × 12
132
aire d’un parallélogramme
base x hauteur

aire d’un losange
2D⋅d

aire d’un trapèze
2b⋅B⋅h

l’aire d’un triangle quelconque (compte aussi pour rectangle, et isocèle)
2b⋅h

l’aire d’un triangle équilatéral (avec mesure d’un côté)
43⋅c ²

l’aire d’un cercle
πr2=π⋅4D2

le volume d’un cube
c3
le volume d’un parallélépipède
(l⋅L)⋅h

le volume d’une pyramide
3airebase⋅h

volume d’un cône
3airebase=3π⋅r2⋅h

volume d’un cylindre
airebase⋅h=π⋅r2⋅h

volume d’une sphère
34⋅π⋅r3

Nombres premiers (jusqu’à 30)
2 ; 3 ; 5 ; 7 ; 11 ; 13 ; 17 ; 19 ; 23 ; 29 ; 31
c’est quoi l’univers d’une expérience?
noté Ω, c’est l’ensemble des issues
comment trouver la probabilité de B sachant A (avec p(A) ≠ 0 ) <=> probabilité conditionnelle
PS: Traduit avec des phrases type « sachant que », ne te case pas la tête!

Quels propriétés vérifient les probabilités conditionnels ?

tableau à double entrée classique avec les événements A, A|, B et B|

arbre pondérée avec les probabilités de A, A|, B et B|

probabilités totales: def + formule
def: soit A1, A2, … An n événements de Ω de probabilité non nulle tels qu’ils soient deux à deux incompatibles (= intersection VIDE), et que leur réunion forme une partition de l’univers (= celui-ci tout entier!).
→ on a donc la formule des proba totales (voir ci-dessous) → toujours écrire « D’après la formule des probabilités totales… »
=> ainsi, souvent, si un exo parle de partition de l’univers on va utiliser cette formule.

tips for proba (3)
bien lire les énonces !!! FR !!!
écrire une phrase réponse !! « La probabilité recherchée est…. »
donner les probabilités au millième prés.
indépendance de deux événements (4)
quand A et B indpts, alors A| et B| aussi (à expliciter)

union (+ intersection), événements contraires (4)

puissances et proba

cos et sin de 0 (radians)
cos(0): 1
sin(0): 0

cos et sin de 𝜋/6

cos et sin de 𝜋 /4

cos et sin de 𝜋 / 3

cos et sin de 𝜋 / 2
sin(𝜋 /2) 1
cos(𝜋 /2) : 0

cos et sin de 2𝜋
cos(2𝜋) =1
sin(2𝜋) = 0
cos et sin de 3𝜋/2
cos(3𝜋 /2) = 0
sin(3𝜋/2) = -1

cos et sin de 𝜋
cos(𝜋) =-1
sin(𝜋) =0
enroulement des réels sur le cercle trio: propriété ( + comment verifier)
ssi x’ = x + 2𝜋 * k (avec k un entier relatif <=> sans partie décimale) x’ et x ont le meme point image.
→ pour verifier: on soustrait x’ et x et on vérifie si le résultat = 2𝜋k
comment passer de degrés en radians?
360* <=> 2𝜋
180* <=> 𝜋
45* <=> 𝜋/4
etc….
comment lire le cosinus et le sinus d’un réel x sur le cercle trigo?
cos x → abscisses
sin x → ordonnées
cos² x + sin² x = ?
1
comment trouver 1 à l’aide de la trigonométrie (formule à connaître)?
cos² x + sin² x = 1 (pythagore)
comment trouver sin(x) ou cos(x) à partir d’un carré? (sin²(x) ou cos²(x))
IL FAUT SAVOIR OÙ X SE SITUE SUR LE CERCLE TRIGO! car si 0 < x , sin(x) < o et si x> 0 alors sin(x) > 0
(en gros c comme ça qu’on va trier les deux solutions obtenues À partir du carré → ne pas oublier de montrer cela lors de conclure)
f(x)=k (avec k qui appartient à R)
f’(x)=0
f(x)=x
f’(x)=1
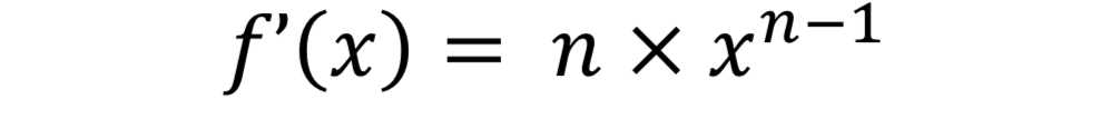
f(x)=x^n

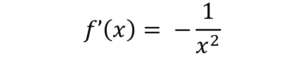
f(x)=1/x

f(x)=√x













formule nombre dérivé

formule de la tangente T À C au point A(a; f(a))

coef directeur de la tangeante au point A(a; f(a))
f’(a)
comment justifier que deux tangeantes sont parallèles à l’axe des abscisses? et les coordonnes correspondantes?
Une droite est parallèle à l'axe des abscisses si son coefficient directeur est nul. Or le coefficient directeur de la tangente est f°(x). On cherche donc à résoudre f°(x) = 0.
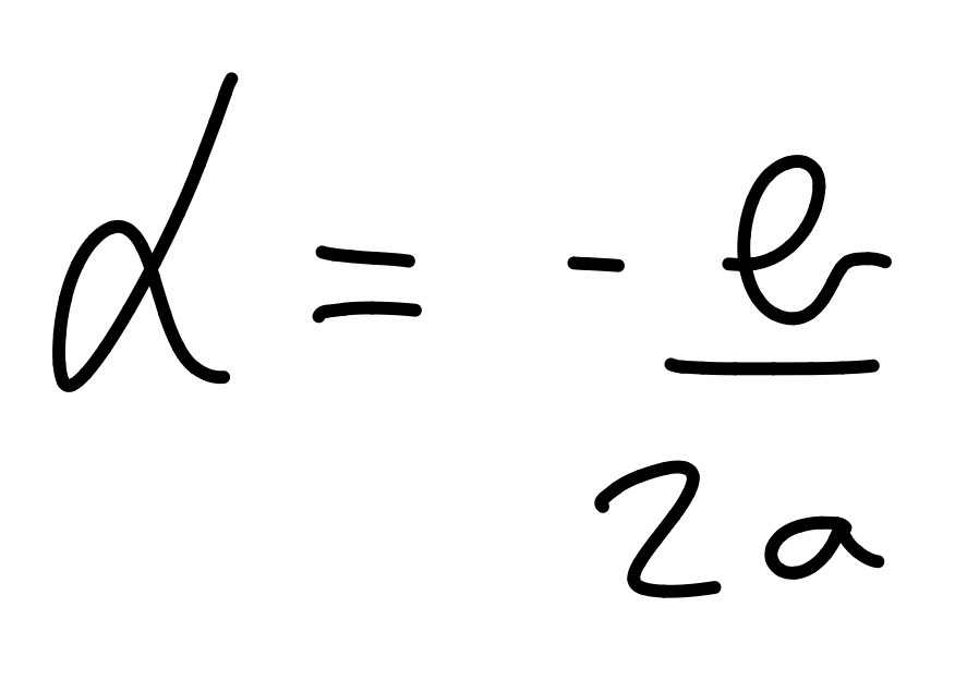
forme canonique d’un polynôme du seconde degré ax² + bx + c
a(x - α)² + β
À quoi correspond β dans la forme canonique du second degré

À quoi correspond α dans la forme canonique du second degré

Comment résoudre une équation du second degré? (6 + 3)
discriminant 1, nombre de solutions 3, formule solution double 1, formule deux solutions 1, formes factorises 2, donner les solutions 1)
d’abord calculer le discriminant 1 et en déduire les solutions d’après les formules ci dessous 5 (à connaître par cœur) (+ connaitre et comprendre formes factorises 2 )
→ attention à ne pas mettre une valeur interdite lors de donner les solutions !

Comment étudier la position relative des courbes Cf et de Cg?
revient à étudier le signe de f(x) - g(x) (si > 0 alors f(x) est au dessus de g(x))
tableau de variation d’une fonction du second degré
dépend du signe de a:
si a>0 la fonction va atteindre un minimum pour x= alpha
si a<0 la fonction va atteindre un maximum pour x = alpha

tableau de signe d’une fonction du second degré <=> résoudre une inéquation (3)
attention aux notations || est la valeur interdite. ci-dessous exemple de quand le polynôme atteint 0
rédaction: Le trinôme est du signe de a = 3 > 0 sauf entre les racines
cas particulier: inéquations quotient il faut faire un tableau complexe avec:
une ligne pr le diviseur
une ligne pr le dividende
→ a laide de leur signe conclure avec une dernière ligne pr le quotient (= conclusion).

Comment trouver les autres solutions à partir d’une racine évidente (équation second degré)? (2)

Produit scalaire à partir de deux longueurs et d’un angle (def 1)

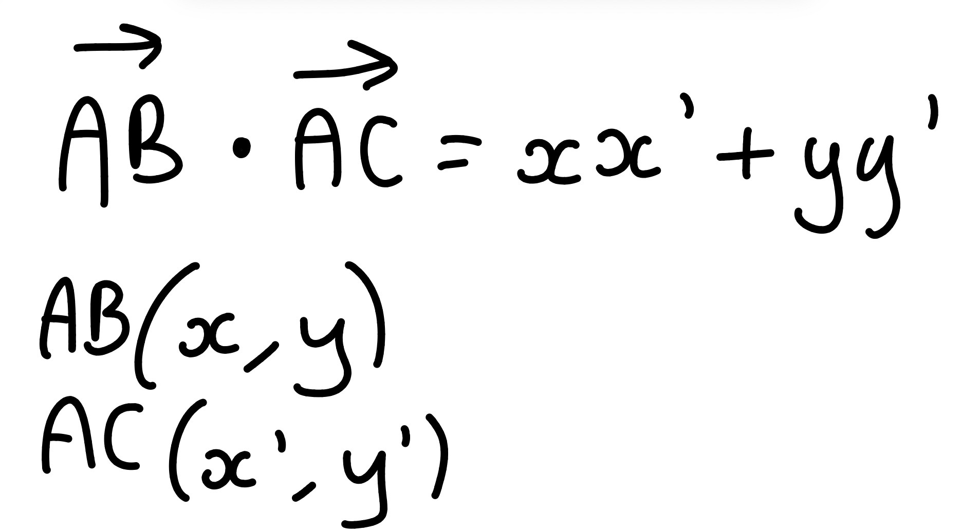
produit scalaire à partir des coordonnes des deux vecteurs

comment trouver les coordonnées d’un vecteur à partir des points qui le composent ? Comment trouver sa longueur à partir de ses coordonnées?

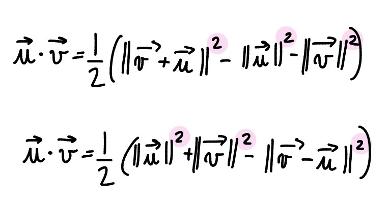
produit scalaire de u et v vecteurs du plan et leurs longueurs (deux)

produit scalaire de AB et AC dans un triangle ABC

produit scalaire de AB et AC dans un parallélogramme ABCD

produit scalaire de AB et AC à l’aide du projeté orthogonal H de C sur (AB)

produit scalaire de deux vecteurs colinéaires

comment determiner le sens de variation d’une suite

determiner le sens de variation d’une suite géométrique

determiner le sens de variation d’une suite arithmétique

formule récurrence arithmétique en explicite

formule récurrence géométrique en explicite

comment determiner si une suite est arithmétique

suites arthimetico-géométriques: résolution exercice type

formule des sommes des termes d’une suite (arithmétique et géométrique)
formule arithmétique: nombre de termes c’est aussi n + 1 (par exemple avec u15 et u33 on fait 15-33 <=> 18 donc le nombre de termes c’est 19 (18 +1)
