1/114
Looks like no tags are added yet.
Name | Mastery | Learn | Test | Matching | Spaced | Call with Kai |
|---|
No analytics yet
Send a link to your students to track their progress

Cephalosporine

Cefotiam is a type of cephalosporin antibiotic used to treat bacterial infections.

Cefoxitin is a cephalosporin antibiotic effective against gram-negative bacteria, often used for surgical prophylaxis.

Parenterale Oximether (Breitspektrum-Ceph.). R + geladen

Cefotaxim (Parenterale Oximether (Breitspektrum-Ceph.). R + geladen )

Cefixim: Dicarbonsäuren / Ethenyl-Derivate der Cephalosporine

Ceftibuten: Dicarbonsäuren / Ethenyl-Derivate der Cephalosporine

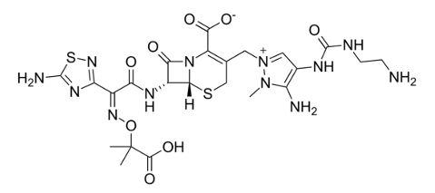
Cefiderocol: ein Siderophor-Cephalosporin, das gegen gramnegative Bakterien wirksam ist.
kann durch Siderophor über ein aktives Fe3+-Transportsystem der bakteriellen Zellwand in die gramnegative Bakterienzelle gelangen

Acylureido-benzyl-penicilline: Mezlocillin, Piperacillin

Temocillin

Pivmecillinam

1: Azacylobutan-2-on → Monobactame
2: 1-Aza-bicyclo [3.2.0]hept-2-en-7-on → Carbapeneme
3: 1-Aza-bicyclo [4.2.0]octan-8-on (ohne Bedeutung)

1: 1-Aza-4-thiabicyclo [3.2.0]heptan-7-on → Pename (Penicillinderivate)
2: 1-Aza-4-oxa [3.2.0]hept-2-en-7-on → Oxapename
3: 1-Aza-5-thiabicyclo [4.2.0]oct-2-en-8-on → Cepheme (Cephalosporinderivate)

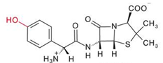
Penicilline, Penicillansäure, 6-Aminopenicillansäure

Benzylpenicillin

Ampicillin

Dicloxacilin, von Oxacilin abgeleitet mit 2 Cl

Amoxicillin

Cefpodoximproxetil

Cefpodoximaxetil

Cefditorenpivoxetil

Cefixim

Ceftibuten

Cephalosporine der 4. Generation:
Cefepim

Cephalosporine der 4. Generation:
Cefpirom

Cephalosporine der 4. Generation:
Cefquinom

Cephalosporine der 5. Generation: oral
Ceftarolinfosamil

Cephalosporine der 5. Generation:
Ceftobiprol-medocaril

Cephalosporine:
Ceftolozan

Cephalosporine:
Cefiderocol

Cephalosporine:
Cefepim/Enmetazobactam

Carbapeneme (Reserveantibiotika)
Imipenem aus Prototyp: Thienamycin (Naturstoff)

Carbapeneme
Ertapenem: lange HWZ, 1 x täglich
Methylsubstitution an Pos. 4alpha erhöht Stabilität gegüb. renaler DHP I (kein Bedarf einer Gabe von Cilastatin)

Metropenem

Monabactame:
Aztreonam:
Monocyklische anti-bakterielle ß-Lactame
ß-Lactamase-stabil
Enges Wirkspektrum, quasi nur bei gram-negativen Erregern
HWZ: 1-2 h

Peneme:

ß-Lactamaseinhibitoren:
Clavulansäure
Sulbactam
Tazobactam

Sultamicillin: Schnelle Spaltung zu Ampicillin und Sulbactam durch Esterasen

β-Lactamaseinhibitoren
Avibactam:
Prototyp von neuartigen β-Lactamase Inhibitoren ohne β-Lactamring
keine antibakterielle Wirksamkeit
gegen Klasse A, Klasse C und bestimmte Klasse D Serin β-Lactamasen wirksam

β-Lactamaseinhibitoren
Vaborbactam: Ein neuer β-Lactamaseinhibitor, der synergistisch mit β-Lactamantibiotika wirkt und gegen bestimmte β-Lactamasen wirksam ist.

Sonstige Hemmstoffe der Murein Biosynthese:
Fosfomycin: Ein Antibiotikum, das die Mureinsynthese hemmt, indem es die Enzymaktivität von MurA blockiert.

Sonstige Hemmstoffe der Murein Biosynthese:
Bacitracin A: Ein Antibiotikum, das die Mureinsynthese hemmt, indem es die Aktivität der Tranduktion verhindert.

Sonstige Hemmstoffe der Murein Biosynthese: Heptapeptide
Vancomycin und Teicoplanin

Sonstige Hemmstoffe der Murein Biosynthese:
Oritavancin:
semisynthetisches Lipoglycolipid
Derivat des Antibiotikums Vancomycin
Hemmstoffe der Plasmamembranfunktion:
Gramicidin-Typ
Hemmstoffe der Plasmamembranfunktion:
Tyrocidin-Typ
Hemmstoffe der Plasmamembranfunktion:
Polymyxin/Colistin-Typ
Hemmstoffe der Plasmamembranfunktion:
Streptomycin-Typ
Tetracycline:
R=R‘=H : Tetracyclin
R=H; R’=OH : Oxy-
R=Cl; R‘=H : Chlor-
Minocyclin: Lokal/systemisch zur Aknetherapie eingesetzt
Tigecyclin: höhere Affinität zum Target
Eravacyclin:
Omadacycline:
Markrolide und Ketolide
Erythromycin: Inhibitor der ribosomalen Biosyntheses
Clarithromycin
Roxithromycin
Azithromycin
Telithromycin
Lincosamide: Lincomycin und Clindamycin
Chloramphenicol
Oxazolidinon-Derivate
Linezolid- SAR
Tedizolid (TR-700, Torezolid)
Pleuromutilin-Derivate
Lefamulin
Fidaxomicin (Tiacumicin B)
Isoniazid: hemmt mykobakterielle Zellwand
Protionamid: vollständige Resorption nach p.o. Applikation
Pyrazinamid:
Ethambutol: nur
Rifampicin
Rifabutin
Dapson
Bedaquilin (Sirturo)
Delamanid
Pretomanid
Chinin
Mefloquin
Chloroquin
Primaquin
Halofantrin und Lumefantrin
Suraming-Natrium
Artemether
Pentamidine
Riamet

Pteridin: Pyrazino[2,3-d]pyrimidin

Pterin (2-Amino-3H-pteridin-4-on) is a compound that serves as a precursor to several important biomolecules, involved in various biological processes such as folate metabolism and electron transport.

Hydroxymethyl 7,8-dihydropterin is an intermediate in the biosynthesis of folate. It plays a crucial role in the formation of pterins, which are vital for various enzymatic reactions.

p-Aminobenzoesäure

7,8-Dihydropteroinsäure is a key intermediate in the biosynthesis of folate, formed from hydroxymethyl 7,8-dihydropterin and p-aminobenzoic acid. It is crucial for the synthesis of dihydrofolate, essential for nucleotide synthesis.

7,8-Dihydrofolsäure: Ein wichtiger Metabolit in der Folatbiosynthese, der aus 7,8-Dihydropteroinsäure gebildet wird mit hilfe von Glutaminsäure. Sie ist entscheidend für die Umwandlung von Dihydrofolat in Tetrahydrofolat. Die bakterielle Dihydrofolat-Reduktase katalysiert die Umwandlung von Dihydrofolat in Tetrahydrofolsäure.

Tetrahydrofolsäure: Das aktive Coenzym von Folat, das für die Übertragung von Ein-Kohlenstoff-Gruppen verantwortlich ist und in verschiedenen biochemischen Reaktionen benötigt wird. Die bakterielle Dihydrofolat-Reduktase katalysiert die Umwandlung von Dihydrofolat in Tetrahydrofolsäure.

Struktur-Aktivitätsbeziehungen
Sulfonamide:
R: Stark variierbar pi– Systeme oft arom. Heterocyclen HWZ steuerbar Renale Elimination, Rückresorption Plasmaproteinbindung, etc….
NH: Azidität wichtig nur deprot. Form enzymrelevant !
arom. Amin: Substitution führt zu Wirkverlust
CAVE: N-Acylierung reduziert Wasserlöslichkeit, Auskristallisation in der Niere

Sulfamethoxazol ( 4-Amino-N-(5-methyl-3-isoxazolyl)benzolsulfonamid ): Ein häufig verwendetes Sulfonamid, das in Kombination mit Trimethoprim zur Behandlung bakterieller Infektionen eingesetzt wird. Es wirkt, indem es die Folsäurebiosynthese in Bakterien hemmt.

Sulfadiazin ( 4-Amino-N-2-pyrimidinylbenzolsulfonamid ): Ein weiteres häufig verwendetes Sulfonamid, das zur Behandlung von bakteriellen Infektionen eingesetzt wird. Es hemmt ebenfalls die Folsäurebiosynthese und wird oft in Kombination mit anderen Antibiotika angewendet.

Trimethoprim: Ein Antibiotikum, das die Folsäurebiosynthese in Bakterien hemmt, häufig in Kombination mit Sulfonamiden wie Sulfamethoxazol eingesetzt.
lipohil durch benzyl rest und methoxy
blauer Bereich: Folsäure-Teilstruktur

Ofloxacin [7H-pyrido-[1,2,3-de][1,4]-benzoxacin Derivat]: Ein Antibiotikum aus der Gruppe der Fluorchinolone, das zur Behandlung bakterieller Infektionen eingesetzt wird, indem es DNA-Gyrase hemmt.

Levofloxacin: (S)-Ofloxacin (Levo~): Ein chirales Antibakterium, das in der Behandlung von Atemwegs- und Harnwegsinfektionen verwendet wird, wirkt durch Hemmung der DNA-Gyrase. 100fach wirksamer als Ofloxacin, (R) weniger selektiv für bakterielle Gyrase, toxischer