1/10
Name | Mastery | Learn | Test | Matching | Spaced | Call with Kai |
|---|
No analytics yet
Send a link to your students to track their progress
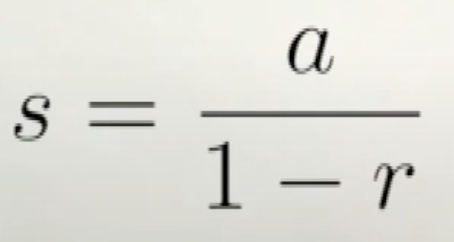
If our series is geometric (and converges), the sum is…
Remember:
convergent if |r| < 1 for geometric test
a is the 1st term (_^0 = 1)

Divergence test
Our series is divergent if…
Divergent if the limit is not equal to zero
Not known (use another test) if equal to zero

What do you use when the lim f(x)/g(x) = 0/0
L’Hopital’s rule



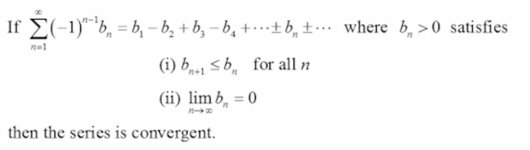
Alternating Series Test
only a convergence test.
b_n is the absolute value of the series
Never say “Based on AST, the series diverges”


Harmonic series
Diverges
What to do when given an Alternating Series?
Use TfD first
If Divergent => alt series is D
If inconclusive, then start with testing the positive series (the absolute value)(ex. get rid of (-1)^n or cospin)
The are two outcomes if Tdf lim = 0
Positive series is Divergent (not concluded through TfD i.e CT) (alt series is either AC, CC, or D) => then use AST (Determine whether the alt series is c)
Positive series is convergent (concluded by using other tests) => Done! the alternating series is Absolutely convergent (make sure to write it all out)
Integral test
State that f(x) is continuous, positive, and decreasing on [1, infinity)



Changing polar to rectangular coordinates
x = rcos