1/48
Looks like no tags are added yet.
Name | Mastery | Learn | Test | Matching | Spaced | Call with Kai |
|---|
No analytics yet
Send a link to your students to track their progress
What is the transport problem?
distribution type
What is the transportation problem goal?
decide how to transfer good from origin to destination @ minimum cost / maximum profit
What is an origin?
send location
What is a destination?
receive location
What are the transportation problem model characteristics?
transfer item from origin to destination @ minimum cost
origin supplies fixed units
destination demands fixed units
What are the transportation problem model methods?
step stone
modify distribution
<
Excel solver
What is the transportation & transshipment difference?
transportation: direct transfer
v.s.
transshipment: intermediate transfer
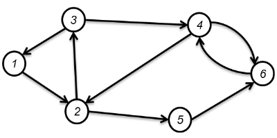
What is a network model?
transportation network drawing by node / arc & function

What are the network model elements?
node
arc
What is a node?
entity
What are some node examples?
city
people
factory
warehouse
What is an arc?
2 node relation
What are some arc examples?
city road
person knows other
company ships to other
warehouse receives good
What are the node types?
origin
destination
transshipment

What is the XAB decision variable?
node flow / shipment amount
What are the node classes?
supply
demand

What does the transportation problem seek to minimize?
total shipping cost
What is the M decision variable?
origin number
What is the Si decision variable?
supply
What is the N decision variable?
destination number
What is the Dj decision variable?
demand
What is the i decision variable?
origin
What is the j decision variable?
destination
What is the Cij decision variable?
origin to destination unit shipping cost
What does the transportation problem tabular representation show?
row: s i
column: d j
cell: xij
→ send amount to i less than / equal to j send amount
→ receive amount from j less than / equal to i receive amount

What is the Excel setup process?
cost table
row: i
column: j
inside cell: Cij
shipping amount table
row: i & total column [=SUM(si)] & s
column: j & total row [=SUM(dj)] & d
inside cell: 0
total cost cell
[=SUMPRODUCT(cost table’s cells, shipping amount table’s cells)]
Data → Solver
Set Objective: total cost cell
To: CHOOSE Min
By Changing Variable Cells: (shipping amount’s cells)
constraint
meet d & NOT exceed s
Subject to the Constraints:
Add → Cell Reference: total column → CHOOSE = sign → Constraint: s column
Add → Cell Reference: total row → CHOOSE = sign → Constraint: d row → OK
solve
CHECK Make Unconstrained Variables Non-Negative
Select a Solving Method: Simplex LP
interpret
CHOOSE Keep Solver Solution
Reports: Answer
What does the answer report show?
when / how solve
total cost
shipping amounts
requirements
What are the special cases?
total supply does not equal total demand
route maximum / route minimum
unacceptable route
What if s exceeds d?
unused excess s
What is the Excel setup process if s exceeds d?
cost table
row: i
column: j
inside cell: Cij
shipping amount table
row: i & total column [=SUM(si)] & s
column: j & total row [=SUM(dj)] & d
inside cell: 0
total cost cell
[=SUMPRODUCT(cost table’s cells, shipping amount table’s cells)]
Data → Solver
Set Objective: total cost cell
To: CHOOSE Min
By Changing Variable Cells: (shipping amount’s cells)
constraint
meet d & NOT exceed s
Subject to the Constraints:
Add → Cell Reference: total column → CHOOSE ≤ sign → Constraint: s column
Add → Cell Reference: total row → CHOOSE = sign → Constraint: d row → OK
solve
CHECK Make Unconstrained Variables Non-Negative
Select a Solving Method: Simplex LP
interpret
CHOOSE Keep Solver Solution
Reports: Answer
What if d exceeds s?
not feasible solution
→ add dummy origin with s equal to difference
0 cost
What is a route maximum?
xij ≤ Lij
What is the L decision variable?
limit
What is the route minimum?
xij ≥ Lij
What happens if there is an unacceptable route?
0 route capacity
What are some intermediate node examples?
warehouse
street
What is the transportation problem an example of?
network flow programming
What are some network flow programming problem examples?
assignment problem
equipment replacement
financial plan
short route
What explains why one models a problem as a network?
make optimization models easy to explain
available efficient algorithm
What does NFP stand for?
|:| network flow programming
What is NFP a case of?
linear programming
What does LP stand for?
|:| linear programming
What are some LP problem examples?
product mix
make v.s. buy
capital budget
production plan
schedule / staff
What is the Excel setup process if d exceeds s?
cost table
row: i & dummy → 0
column: j
inside cell: Cij
shipping amount table
row: i & total column [=SUM(si)] & s & dummy → d - s difference
column: j & total row [=SUM(dj)] & d
inside cell: 0
total cost cell
[=SUMPRODUCT(cost table’s cells, shipping amount table’s cells)]
Data → Solver
Set Objective: total cost cell
To: CHOOSE Min
By Changing Variable Cells: (shipping amount’s cells)
constraint
meet d & NOT exceed s
Subject to the Constraints:
Add → Cell Reference: total column → CHOOSE ≤ sign → Constraint: s column
Add → Cell Reference: total row → CHOOSE = sign → Constraint: d row → OK
solve
CHECK Make Unconstrained Variables Non-Negative
Select a Solving Method: Simplex LP
interpret
CHOOSE Keep Solver Solution
Reports: Answer
What is the transshipment Excel setup process?
origin to transshipment cost table
row: origin
column: transshipment
transshipment to destination cost table
row: transshipment
column: destination
origin to transshipment shipping amount table
row: origin & total [=SUM]
column: transshipment & total [=SUM] & s
transshipment to destination shipping amount table
row: transshipment & total [=SUM] & d
column: destination & total [=SUM]
transshipment flow table
row: transshipment
2nd column: [0]
total cost cell
[=SUMPRODUCT + SUMPRODUCT]
Data → Solver
Set Objective: total cost cell
To: CHOOSE Min
By Changing Variable Cells: 3. cells, 4. cells
Subject to the Constraints:
total column <= s column
transhipment column = 0
total row = d row
CHECK Make Unconstrained Variables Non-Negative
Select a Solving Method: CHOOSE Simplex LP
What are the transshipment variations?
transshipment & destination
flow goes between locations
What if d locations can be passed to further destinations along the way?
2nd column: d
What if the flow can go between locations?
create both variables
What explains how to prevent an unacceptable route?
assign high cost