Function Families

0.0(0)
Studied by 4 people
call kaiCall Kai
learnLearn
examPractice Test
spaced repetitionSpaced Repetition
heart puzzleMatch
flashcardsFlashcards
GameKnowt Play
Card Sorting

1/26

flashcard set

Earn XP

Description and Tags

Last updated 3:19 PM on 10/11/22
Name
Mastery
Learn
Test
Matching
Spaced
Call with Kai

No analytics yet

Send a link to your students to track their progress

27 Terms

1
New cards
Quadratic
knowt flashcard image
2
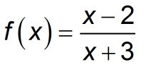
New cards
Rational
knowt flashcard image
3
New cards
Rational
knowt flashcard image
4
New cards
Cubic
Has a maximum of two turning points and three real roots
5
New cards
Logarithmic
Inverse of an exponential
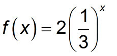
6
New cards
Exponential
knowt flashcard image
7
New cards
Linear
Has at most 1 root and no turning points
8
New cards
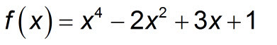
Quartic
knowt flashcard image
9
New cards
Square Root
knowt flashcard image
10
New cards
Quartic
Has at most four roots and three turning points.
11
New cards
Logarithmic
knowt flashcard image
12
New cards
5th degree polynomial
Starts down and finishes up and has 4 real roots
13
New cards
Cube Root
knowt flashcard image
14
New cards
Logarithmic
knowt flashcard image
15
New cards
Cubic
knowt flashcard image
16
New cards
Linear
knowt flashcard image
17
New cards
Quadratic
knowt flashcard image
18
New cards
Exponential
knowt flashcard image
19
New cards
Cube Root
knowt flashcard image
20
New cards
Linear
knowt flashcard image
21
New cards
Cube Root
Inverse of a cubic function
22
New cards
Rational, Square Root or Logarithmic
Always has a limited domain
23
New cards
Quadratic
Starts up and finishes up with one real root
24
New cards
Quartic
knowt flashcard image
25
New cards
Square Root
knowt flashcard image
26
New cards
Exponential or Logarithmic
Is strictly increasing or decreasing
27
New cards
Cubic
knowt flashcard image