1/6
Unit 1-7
Name | Mastery | Learn | Test | Matching | Spaced | Call with Kai |
|---|
No analytics yet
Send a link to your students to track their progress

A. f(1) = limx→1 f(x)
B. f(2) = limx→2 f(x)
C. f(x) has a removable discontinuity at x = 2.
D. f(x) has a jump discontinuity at x = 4.
B. f(2) = limx→2 f(x)

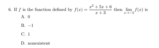
A. 0
B. −1
C. 1
D. nonexistent
C. 1

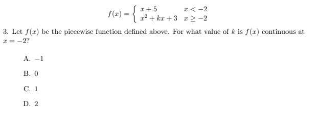
A. −1
B. 0
C. 1
D. 2
D. 2

A. 0 removable discontinuities, 1 non-removable discontinuity
B. 1 removable discontinuity, 1 non-removable discontinuity
C. 2 removable discontinuities, 1 non-removable discontinuity
D. 1 removable discontinuity, 2 non-removable discontinuities
D. 1 removable discontinuity, 2 non-removable discontinuities

A. f(x) is not continuous at x = 3.
B. limx→3 f(x) exists.
C. f(3) = 2
D. f(x) has a removable discontinuity at x = 3.
A. f(x) is not continuous at x = 3.

A. 0
B. −1
C. 1
D. nonexistent
B. −1

A. II only
B. III only
C. I and II only
D. I, II, and III
A. II only