1/6
Looks like no tags are added yet.
Name | Mastery | Learn | Test | Matching | Spaced | Call with Kai |
|---|
No analytics yet
Send a link to your students to track their progress
Electromagnetic radiation

Principles of spectroscopy

Vibrational Spectroscopy

Electronic spectroscopy

Raman Spectroscopy

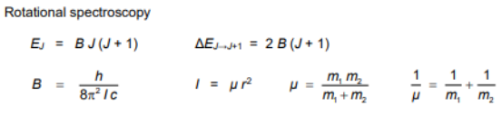
Rotational Spectroscopy

Vibrational Spectroscopy
