1/50
Tipografías
Name | Mastery | Learn | Test | Matching | Spaced | Call with Kai |
|---|
No analytics yet
Send a link to your students to track their progress

glifo (unidad gráfica)

Carácter (ud textual)

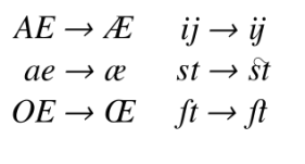
Ligadura (dos o más letras)

Tipo (cada uno de los tipos gráficos que componen un conjunto)

Conjunto tipográfico

Familia tipográfica

Variantes tipográficas

Líneas de referencia

Nombre de cada línea

Partes de un caracter
Título: Direcc visual de la tipograf
Autor: Ambrose, Gavin…
Editor: Index Book
Fecha de publicación: 2010

Cuerpo

Rasgo ascendente

Rasgos descendentes
¿Caja Alta?
MAYÚSCULAS
Versales y versalitas

¿Caja Baja?
minúsculas
Volado
25^5


Asta / Fuste

Asta Inclinada (ascendentes o descendentes)

Asta ondulada (desciende de izq a der)

Barra

Travesaño

Brazo (trazo corto de hasta a la letra)

Cola

Cuello, enlace o ligadura

anillo (ojo)

ojal

Arco (trazo curvo)

Ojo o contraforma (contorno interior de un trazo)

Cruce

Oreja (lo agregan algunos caracteres en su anillo)

Terminación o remate

Serif, gracia, remate, pie

Virgulilla

Serifa
Clasificación de familias tipográficas
1) presencia o ausencia de serifa
2) uniformidad o variabilidad de grosor (astas, trazos variables…)
3) Caligráficas (imitan escritura manual)
4) Fantasía (diseños en los que prima la creatividad)
la forma…
…COMUNICA
Tipografía con serifa
1) caráscter: serio (formas) o institucional (origen)
2) formas: lo horiz combinado con lo vertical = paradigma de la estabilidad (se nota + en las tipo con serifa)
3) Son estáticos, estables: Remates horizontales refuerzan los verticales
4) Origen: Recomend para textos largos porque las serifas crean guías que sostienen la mirada en cada línea
Tipo Sin Serifa
1) La ausencia de remates permite que dominen los trazos curvos (carácter amable)
2) uso y desarrollo en los años 20´ - 30´
Recomendadas para títulos y nombrar cosas
Diseño limpio
Con grosor de trazo constante
con serifa → variación del grosor
sin serifa → trazo constante
+estática, + seria, +minimalistas, -intrusivo
topografía con grosor de trazo variable
+carga de diseño
pasan - desapercibidos en el contexto
tipografías caligráficas
Imitan la escritura a mano
Inglesa: formal, poco legible, centrada en lo ceremonioso…
Casual: informal, cercano al hb, desenfadada
Tipografías de Fantasía
intención más allá de la comunicación
Tipografías serif
romanas antiguas
romanas de transición
romanas modernas
egipcias
Sans Serif
grotescas
neogrotescas
geométricas
humanísticas
Tipograf Caligráficas o rotuladas
Inglesas y Góticas
tipografía decorativa
max esplendor S. XIX
letras adornadas
KERN
(interletraje)
espacio entre caracteres
se debe tener en cuenta las correcciones ópticas
TRACK
(densidad, proximidad de caracteres)
a medida que crece el cuerpo, el track dismin
factores que influyen a la legibilidad
Conjunto tipográf (romano, palo seco, redonda)
Interletraje (excesivam reducido = impocto neg)
Cuerpo (tamaño letra)
Longitud de línea (cortas, + legibles)
Combinac figura - fondo
origen de fuente