Pre Calc BC Honors Final test of the year - what you need to know

0.0(0)
Studied by 2 people
call kaiCall Kai
learnLearn
examPractice Test
spaced repetitionSpaced Repetition
heart puzzleMatch
flashcardsFlashcards
GameKnowt Play
Card Sorting

1/32

flashcard set

Earn XP

Description and Tags

Last updated 8:22 PM on 6/5/23
Name
Mastery
Learn
Test
Matching
Spaced
Call with Kai

No analytics yet

Send a link to your students to track their progress

33 Terms

1
New cards
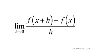
Definition of the derivative
knowt flashcard image
2
New cards
graph of f(x) = eˣ
knowt flashcard image
3
New cards
graph of f(x) = lnx
knowt flashcard image
4
New cards
f(x) is continuous at x=a if
f(a) is defined

\
lim f(x) exists

x→a

\
f(a) = lim f(x)

x→a
5
New cards
Types of discontinuity
Removable, Jump, and Infinite
6
New cards
When functions are not differentiable?
Discontinuity, corner, vertical tangent line, or a cusp
7
New cards
d/dx \[c\] =

(c is any real number)
0
8
New cards
d/dx \[mx\] =

\[m is a constant\]
m
9
New cards
d/dx \[xⁿ\] =
nxⁿ⁻¹
10
New cards
d/dx \[cf(x)\] =

(c is any real number)
cf’(x)
11
New cards
d/dx \[f(x)±g(x)\] =
f’(x) ± g’(x)
12
New cards
d/dx \[f(x)g(x)\] =
g(x)f’(x) + f(x)g’(x)
13
New cards
d/dx \[ f(x)/g(x)\] =
\[g(x)f’x)-f(x)g’(x)\]/\[g(x)\]²
14
New cards
d/dx\[f(g(x))\] =
f’(g(x)) ⋅ g’(x)
15
New cards
d/dx \[sin x\] =
cos x
16
New cards
d/dx \[cos x\] =
\-sinx
17
New cards
d/dx \[tan x\] =
sec²x
18
New cards
d/dx \[cot x\] =
\-csc²x
19
New cards
d/dx \[sec x\] =
secx tanx
20
New cards
d/dx \[csc x\] =
\-cscx cotx
21
New cards
d/dx \[eˣ\] =
22
New cards
d/dx \[bˣ\] =
bˣ ⋅ lnb
23
New cards
d/dx \[ln x\] =
1/x
24
New cards
d/dx \[log꜀x\] =
1/ x⋅lnc
25
New cards
d/dx \[sin⁻¹\] =
1/  √1-x²
26
New cards
d/dx \[cos⁻¹\] =
\-1/  √1-x²
27
New cards
d/dx \[tan⁻¹\] =
1/1-x²
28
New cards
Trig table
knowt flashcard image
29
New cards
Unit Circle
knowt flashcard image
30
New cards
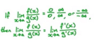
L’Hopital’s Rule
knowt flashcard image
31
New cards
Mean Value Theorem Definition
If f is continuout on the closed interval \[a,b\] and differentiable on the open interval (a,b), then there exists a number c in (a,b) such that
If f is continuout on the closed interval \[a,b\] and differentiable on the open interval (a,b), then there exists a number c in (a,b) such that
32
New cards
Intermediate Value Theorem
if f is continuous on \[a,b\] and k is any number between f(a) and f(b), inclusive then there is at least one number c in the interval \[a,b\] such that f(c) = k
33
New cards
Extreme Value Theorem
If a function f(x) is continuous on a closed interval \[a,b\] then f(x) has both a maximum and minimum value on \[a,b\]