1/15
Looks like no tags are added yet.
Name | Mastery | Learn | Test | Matching | Spaced | Call with Kai |
|---|
No analytics yet
Send a link to your students to track their progress
Preparation Of Alkoxides

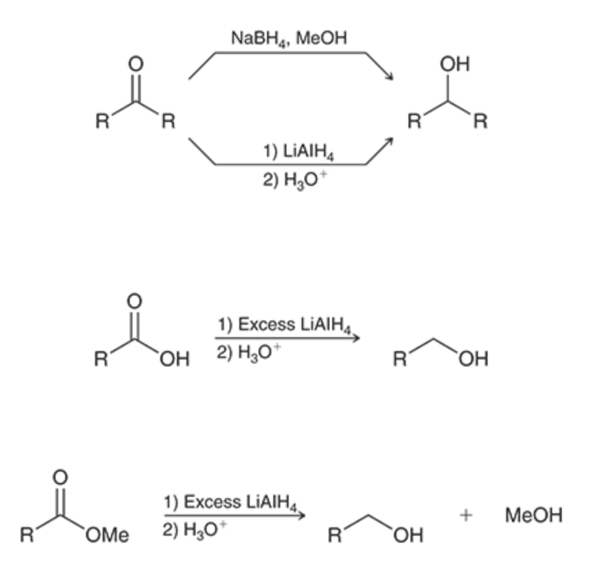
Alcohol Synthesis (Reduction)

Alcohol Synthesis (Grignard)

Protecting Alcohols (Silicate)

SN1 With Alcohol

SN2 With Alcohol

Elimination With Alcohol

Oxidation Of Alcohols

Williamson Ether Synthesis

Alkoxyl-Mercuration/Demurcuration

Acidic Cleavage

Auto-Oxidation

Epoxide Synthesis

Ring Opening

Thiol Synthesis

Sulfide Synthesis
