1/37
Könshormoner, menstruationscykeln, follikelutveckling, hormoncykeln osv.
Name | Mastery | Learn | Test | Matching | Spaced | Call with Kai |
|---|
No analytics yet
Send a link to your students to track their progress
Vad är steroider uppbyggda av?
De är lipider uppbyggda av 4 stycken kolväteringar.

Vad bygger upp alla steroidhormoner (substrat)?
Kolesterol.

Hur transporteras kolesterol?
Det transporteras i blodet till cellerna i LDL’s.
→De binder till LDL-receptorer på ytan och förs in till cytoplasma genom endocytos. Det bildas en ensosom som fuserar med lysosom. LDL bryts ner till kolesterol.

På vilket annat sätt kan kolesterol frisättas?
Från kolesterolestrar eller syntes de novo från golgiapparaten.
Vilka enzymer katalyserar biosyntes av steroidhormoner?
De katalyseras av cytokrom P450 mono-oxygenaser, även kallat CYP-enzym.
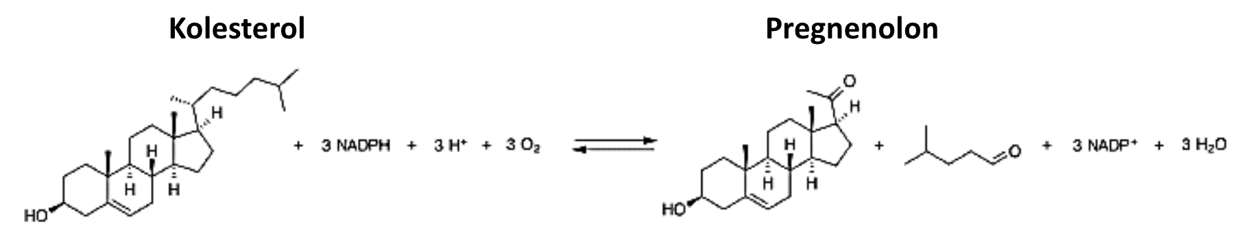
Vilket CYP-enzym katalyserar den första gemensamma reaktionen för alla steroider?
CYP11A1. Det bildas pregnenolon.

Vad är CYP enzymer och var uttrycks de?
En stor familj av isoenzymer, fler än 50 gener.
De uttryck sig i mitokondrier och endoplasmatiska reticulum, eftersom det är här dessa enzymer uttrycks.
Vilka 3 roller har CYP-enzymer?
Metabolism av fettsyror och arakidonsyra.
Biosyntes av steroidhormoner.
Metabolism av kolesterol.
Biotransformation av läkemedel (kroppsfrämmande).
Vilka CYP enzymer har stor betydelse för steroidsyntes?
CYP 11
CYP 17
CYP 19
CYP 21
Vilken nomenklatur har aromatas?
CYP19A1.
Vilka lager består binjurebarken av?
Zona glomerulosa (ytterst)
Zona fasiculata.
Zona reticularis (innerst)
De olika lagren uttrycker olika CYP-enzymer → olika hormoner bildas.

Hur bildas androstendion och progesteron från pregnenolon?
Detta sker i zona glomerulosa och fasiculata.
Kolesterol i mitokondrien omvandlas till pregnenolon mha CYP11A1 som katalyserar reaktionen → klyver av sidokedjan på kolesterol.
Pregnenolon är ett substrat för andra hormoner.
Det omvandlas till androstendion eller progesteron i ER.

Var slutar biosyntes av steroidhoromon i binjurebarken?
I zona fasiculata, där uttrycks sen inga fler CYP-enzymer eller väldigt få.
Hur syntetiseras östrogen i ovariet?
Det krävs antingen testosteron eller androstendion:
→ Progesteron omvandlas till andostendion. Det omvandlas till estron (E1) som sedan omvandlas till estriol.
→ Androstendion omvandlas till testosteron. Aromatas (CYP19A1) omvandlar testosteron till estradiol och sedan estriol.

Hur verkar steroidhormoner?
Varje steroid har en unik receptor. I ett inaktivt stadie binder den till andra proteiner.
När ett hormon binder in försvagas andra interaktioner och de dissocierar.
När kortisol binder in kan receptorn binda in till genomet och initiera transkription.
Det krävs ett dimärt komplex för att initiera transkription (två receptorer).

Vilka metabola effekter har testosteron och östrogen?
Testosteron: proteinanabolt.
Österogen: påverkar halten av lipoproteiner i blodplasma.
Vilka neuroendokrina effekter har testosteron och östrogen?
De verkar negativt feedback på hypofysen och insöndring av LH och FSH.
Östrogen kan ha dual action → i vissa fall positiv feedback.
Vilket samspel har progesteron och östrogen?
Båda krävs för körtelproliferation.
Progesteron behövs för att endometriet ska vara redo för implantation.
Östrogen gör att glattmuskulatur blir mer benägen att kontraherar; det stimulerar till aktionspotentialer.
Progesteron gör att glattmuskulatur blir mer benägen att relaxerar.
Vad skiljer E, E2 och E3?
Antalet OH-grupper. E2 är den vanligaste östrogenet (estradiol).

Vilka hormoner är involverade under menstruationscykeln?
GnHR.
FSH.
LH.
Östrogen (estron, estradiol, estratriol).
Androgen (testosteron, androstendion).
Progesteron.
Vad är GnRH?
Gonadotropin release hormon:
Produceras i hypothalamus nucleus arcuatus.
Insöndras till adenohypofysen.
Stimulerar FSH och LH.
Insöndras pulsatilt: var 90:e minut.
Hög halveringstid; går ej att mäta.

Vilka 3 faser består menstruation av?
Follikelfas.
Ovulation.
Lutealfas.

Vilka 2 parallella processer innefattar menstruationscykeln?
En ovariell och en uterin cykel.
Ovariell: Mognad av äggcell.
Uterin: Skapar förutsättning för implantation.

Vilka 2 faser går endometrium igenom och vad vilka effekter har det?
Proliferation (follikelfas): Här sker många mitoser på grund av österogenpåverkan.
Sekretorisk fas (lutealfas): Differentiering av vävnad sker, körtlar aktiveras, det sker glykogeninlagring, kärlinväxt och inga mitoser sker. Hät påverkar både progesteron och österogen.

Vad kallas de artärer som växer in i endometrium?
Spiralartärer.

Vilken effekt har FSH?
De binder till ytreceptorer i granulosacellerna vilket aktiverar enzymet aromatas.
Leder till ökad kärlinväxt i follikel.
Ökar antalet FSH-receptorer hos follikeln.
I kombination med ökande E2-nivåer kommer granulosacellerna dela sig snabbt och ökar E2-nivåerna yttligare.

Vilken effekt har LH?
LH binder till ytreceptorer på thecaceller vilket aktiverar en enzymatisk kedjereaktion. Dessa enzymer omvandlar kolesterol till androgener (testosteron & androstendion).
→ Dessa aromatiseras aromatas från granulosacell.

Vilken effekt har östrogen på FSH-insöndring?
Stigande östrogennivåer minskar insöndringen av FSH (negativ feedback). Detta gör att FSH sjunker under follikelfas i takt med ökade E2-nivåer.
Den follikeln som uttrycker flest FSH-receptorer fortsätter utvecklas, resterande tillbakabildas. Detta resulterar i att den dominanta follikeln ovulerar.
Vilken effekt har östrogen på LH?
Östrogen har en negtiv feedback på LH förutom vid höga nivåer; det har en positiv feedback vid höga nivåer. LH-toppen leder till ovulation som sker ett halv dygn innan ovulation.
Här får även FSH en liten stegring.

Vad initierar LH-toppen?
→Fortsatt meios.
→ Luteinisering av granulosaceller och thecaceller.
→ Syntes av progesteron och prostaglandiner.
Hur sker follikelbristning?
Progesteron förstärker effekterna av prostaglandiner och proteolytiska enzym som luckrar upp follikelväggen.
Här bidrar den mitt-cykliska FSH stegringen till syntes av proteolytiska enzym.

Hur länge är ägget befruktbart efter ovulation?
1-2 dagar.
Hur bildas progesteron under lutealfasen och vilka effekter har det?
Det bildas av luteiniserade thecaceller och granulosaceller och har följande effekt;
Termogent (höjer 0,5 grader).
Cervixsekret blir segt och svårgenomträngligt.
Stimulerar brösten.
Vilken effekt har progesteron på endometriet?
Progesteron är “antiöstrogen”. Det leder till ökad metabolisering och nedbrytning av E2.
Det binder till DNA:t och mRNA transkriberas vilket bryter ner E2 (se bild).


Vad visar bilden?
Ovulatoriskt sekret och lutealfas-sekret.
Hur påverkar progesteron endometriet?
Det upprätthåller kärltonus under lutalfasen.
Vilken effekt har opioider på menstruation?
Vid intensiv fysisk träning och anorexi frisätts mer beta-endorfiner. Endogena opioider kan hämma GnRH pulsatiliteten.
Detta leder till minskat LH & FSH. Kan leda till utebliven eller oregelbunden mens.
Lågt östrogen kan leda till benskörhet.
Hur fungerar p-piller?
De gör negativ feedback på hypothalamus vilket leder till mindre GnRH → inget LH eller FSH.
Det sker ingen follikelmognad eller ovulation.