1/28
Looks like no tags are added yet.
Name | Mastery | Learn | Test | Matching | Spaced | Call with Kai |
|---|
No analytics yet
Send a link to your students to track their progress
Objective
Why do we care about prodrugs?
there are a large number of approved therapeutic agents that are administered in the form of a prodrug
Objective
What is a prodrug?
a pharmacologically inactive compound that is converted into an active drug by metabolic transformation

Objective
What are reasons for prodrug strategies? (7)
- Aqueous solubility
- Absorption & distribution
- Metabolic instability
- Prolonged release
- Toxicity
- Patient acceptability
- Formulation issues
Functionalizing __________________ to increase water solubility
lipophilic drugs
Objective
Example of increasing aqueous solubility: Methyprednisolone --> methylprednisolone sodium succinate
methylprednisolone is the active form. It is not soluble in water
- methylprednisolone sodium succinate is the prodrug, soluble in water

Objective
Example of increasing aqueous solubility:
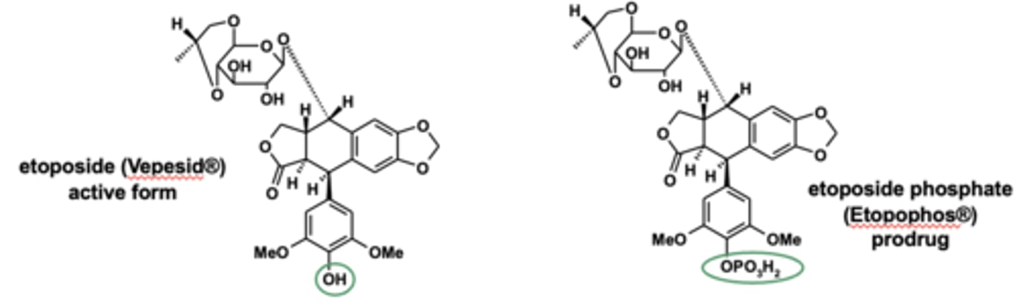
Etoposide --> etoposide phosphate
etoposide is the active form, converted to etoposide phosphate, prodrug

Example of increasing aqueous solubility:
SN-38 --> irinotecan
irinotecan prodrug, increases aqueous solubility

Example of increasing aqueous solubility:
Phenytoin --> fosphenytoin

Objective
Example of functionalizing to improve absorption:
Acyclovir --> Valacyclovir
- Oral BA of acyclovir: 15-30%, requires 5x per day dosing
- oral BA of prodrug, valacyclovir is 55%, allows for less frequent dosing (3x a day)

Objective
Example of functionalizing to improve absorption:
epinephrine --> dipivefrin
- epinephrine: typical dosage is 1 drop of 1.0% twice daily
- dipivefrin: lipophilic prodrug of epinephrine, better absorption, typical dosage: 1 drop of 0.1% twice daily

Example of functionalizing to improve absorption:
ampicillin --> bacampicillin --> cefpodoxime and cefuroxime

Objective
Example of functionalizing to improve absorption:
enalaprilat --> enalapril
- enalaprilat not orally BA
- enalapril has good oral BA (60%)

Objective
Functionalizing to improve distribution into the CNS:
gamma-amino butyric acid (GABA) --> progabide
- progabide is the lipohilic prodrug of GABA, reported to have much better CNS penetration than GABA itself

Functionalizing to use active transport systems to get a drug into the CNS:
L-dopa/levodopa --> dopamine
- levodopa is the prodrug of dopamine
- dopamine is not able to peneratrate the CNS

Example of avoiding/reducing the first-pass effect: Naltrexone
Naltrexone is well-absorbed orally, but undergoes extensive first-pass metabolism
- Ester prodrugs avoid some first-pass metabolism and increase oral bioavailability by 28- to 45- fold

Example of avoiding/reducing the first-pass effect: Propranolol
- propranolol is well- absorbed orally
- undergoes extensive first-pass metabolism
- hemisuccinate ester prodrug avoids some first-pass metabolism and increases BA by 8-fold

Objective
Example of avoiding/reducing the first-pass effect: acyclovir
acyclovir (Zovirax®)
prodrug

Objective
Prodrug strategy: What are benefits of prolonged release? (6)
- reducing frequency of doses required
- eliminating need for nighttime administration
- minimizing patient noncompliance
- eliminating peaks/valleys of drug concentrations in body
- reducing the potential for toxicity
- reducing GI side-effects
Objective
Example of prolonged-release: antipsychotic: Haloperidol --> Haldol D
Haldol D prodrug dosed less often

Objective
Example of prolonged release: antipsychotic: Fluphenazine deconoate and fluphenazine enanthate
fluphenazine deconoate and fluphenazine enanthate dosed less

Prodrug toxicity
avoiding irritation/GI toxicity due to acidic functional groups
Objective
Prodrug: Toxicity: dipivefrin
dipivefrin prodrug

Objective
Prodrug: toxicity: nabumetone
nabumetone inactive prodrug avoids causing
direct GI toxicity/irritation
due to acidic functional group

Objective
Prodrug: toxicity: 5-FU -> capecitabine
capecitabine prodrug has greater TI than 5-FU

Prodrugs: Patient acceptibility
- eliminating pain on injection
- masking bitter taste
Objective
Prodrug: Patient acceptibility: clindamycin phosphate (eliminating pain)
clindamycin phosphate prodrug eliminating pain on injection

Objective
Prodrug: Patient acceptability: clindamycin palmitate HCl (masking bitter taste)
clindamycin palmitate HCl masks bitter taste

Objective
Prodrug: Patient acceptability: acetyl sulfisoxazole (masking bitter taste)
acetyl sulfisoxazole masks bitter taste

Objective
Prodrug formulation issues: Volatility and toxicity: Methenamine
Methenamine prodrug breaks down to formaldehyde under right conditions
