1/33
Looks like no tags are added yet.
Name | Mastery | Learn | Test | Matching | Spaced | Call with Kai |
|---|
No analytics yet
Send a link to your students to track their progress
condition for volume integral
f(x,y)>=0
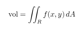
volume under solid z=f(x,y) over the region R

Fubini’s Theorem

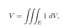
Volume Integral over solid E

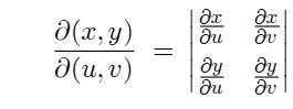
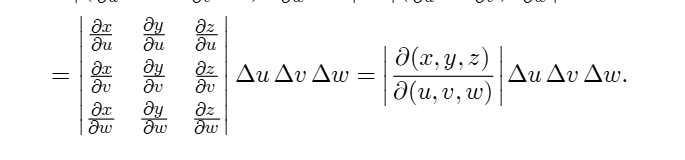
Jacobian of transformation for (u,v)

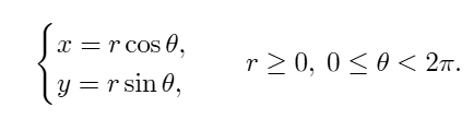
change of variables polar coordinates
Jacobian= r

Jacobian in 3d for (u,v,w)

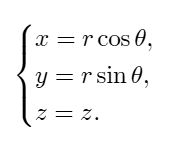
change of variables cylindrical coordinates
jacobian= r

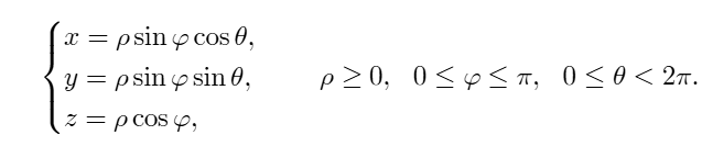
spherical coordinates change of variables

spherical coordinates jacobian

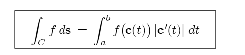
Line integral of scalar functions conditions
let c be a c1 curve and f be a scalar function defined over C, f:C→ R
line integrals of scalar functions

line integrals of vector fields conditions
F is a C1 vector field and C is a C1 curve
line integral of vector fields

If an object is moving on a curve C under a force F the work after time [a,b]

Fundamental Theorem for Line Integrals

f is a conservative vector field if (r3)
we can find an F such that F=gradient of f
curl of F
If the curl of f is zero the field is conservative

component test( showing F is conservative on R2)
if F=(P,Q) is a C1 vector field defined on an open simply connected region D that satisfies the equation then F is conservative

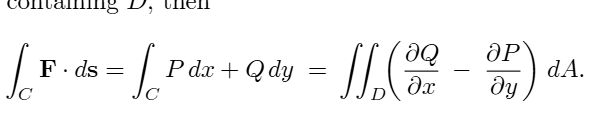
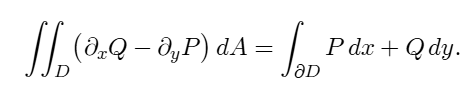
Greens Theorem Conditions
Let C be a positively oriented, peicewise smooth, simple, closed curve in the plane
Greens Theorem

If a curve C is traversed clockwise

If C is traversed n times
the line integral is multiplied by n
Greens Theorem and Area
If Qdx-Pdy= 1 then it can be used to find area

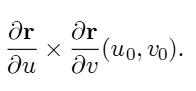
normal vector on a surface at each point (u,v)

Surface area of a parametrized surface r(u,v)

Surface Integrals of Scalar functions

positive orientation
outward/upward
closed surfaces are given the _____ orientation
positive/outward
Surface Integral for vector field
where the sign is fixed by the chosen orientation

Stokes Theorem Conditions
Let S be an oriented, piecewise smooth surface bounded by a simple closed curve C with the induced positive orientation. F is a C1 vector field on s
Stokes Theorem

Gauss’ Divergence Theorem Conditions
E a simple solid region in R3 and S be its closed boundary surface oriented outward. F is a C1 vector field on E
Gauss’ Divergence Theorem
