1/22
Looks like no tags are added yet.
Name | Mastery | Learn | Test | Matching | Spaced | Call with Kai |
|---|
No analytics yet
Send a link to your students to track their progress
elektrofil aromatisk substitution, EAS

Deuterering

halogenering av aromatisk ring

Nitrering

Sulfonering

Friedel-Crafts alkylering

Friedel-Crafts acylering

Diazotisering

reduktion av nitrogrupp till amin

Clemmensen-reduktion
Wolff-Kishner-reduktion
(reduktion av arylketon)

Mozingo-reduktion

1,2-addition i konjugerat system
1,4-addition i konjugerat system

Diels-Alder reaktion

katalytisk hydrogenering av alkener
(reduktion av alkener)

REDUKTION AV KARBONYLGRUPPER

reduktion av aldehyder
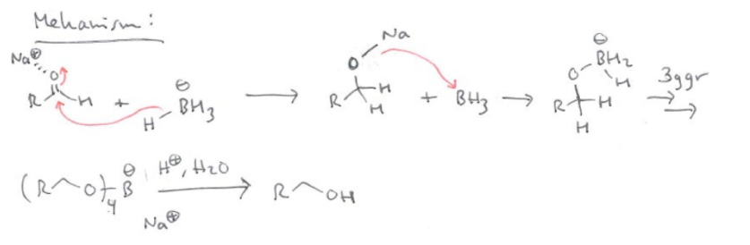
reduktion av ketoner

reduktion av estrar
reduktion av amider

reduktion av iminer

oxidation av alkoholer

oxidation av aldehyder

Swern-oxidation

Dess-Martin oxidation

Hypokloritoxidation
