1/10
Looks like no tags are added yet.
Name | Mastery | Learn | Test | Matching | Spaced | Call with Kai |
|---|
No analytics yet
Send a link to your students to track their progress
State prob addition and multiply rules, X and P meaning
X1 and X2 disjoint elements, probability that EITHER X1 or X2 occur = addition
Probability that BOTH X1 and X2 occur = multiply
Random variable = {possible values xi and their probabilities pi}
X = possible outcomes (must be numbers)
P = probability of each outcome happening
State expected value equation
Average payoff you would get in the long run if the game were repeated many times
Possible outcomes x1, x2, …, xn
Each with a probability of happening p1, p2, …, pn

State NE of mixed
List of mixed strategies, one for each player, such that choice yields highest expected payoff, given the mixed strategies of the other players
Explain general way to find mixed strategy equilibria
Strategies not mixed MUST give worse payoffs
Player must be indifferent between all strategies being mixed
Find expected payoffs
Equate E for different strategies
For graphs, draw table and consider inequalities
Describe pure strategy
Pure strategy = choose one action with certainty (probability = 1)
They are degenerate mixed strategies
Pure strategy = special case of mixed strategy where probability = 1 for one action (normal NE)
Describe mixed strategy
Mixed strategy = randomise between pure strategies using probabilities
Frequency at which such an event has occurred over a large number of observations
Support for mixed strategy = pure strategies that are played with positive probability
Eg. Play A with 0.7, Play B with 0.3 -> Support = {A, B}
Eg. Play A with 1, Play B with 0 -> Support = {A}
State conditions for mixed strategy equilibria
All strategies in the support (mixing bunch) give equal payoff = indifferent condition
Payoff of unused strategies ≤ Expected payoff of used strategies
Compare asymmetric and symmetric equilibria
Pure strategy Nash equilibrium (asymmetric equilibrium): One man chooses blonde, everyone else chooses brunette
Symmetric mixed equilibrium (same for each player)

Prove mixed strategy condition: All strategies in the support (mixing bunch) give equal payoff = indifferent condition is fufilled for P1


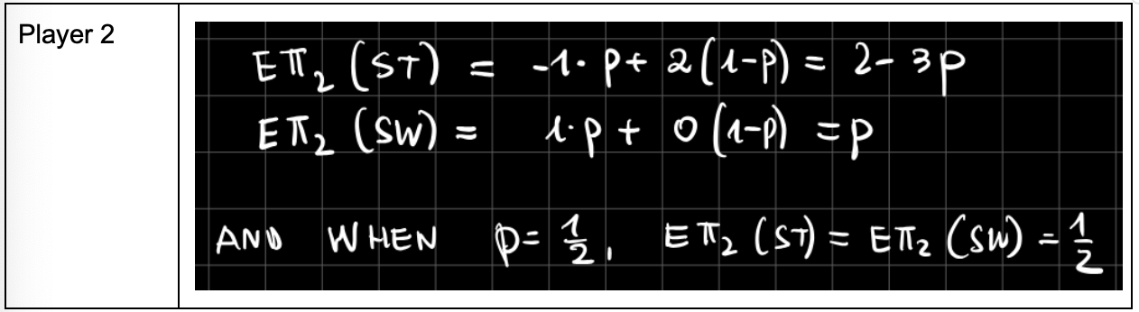
Prove mixed strategy condition: All strategies in the support (mixing bunch) give equal payoff = indifferent condition is fufilled for P2


Prove mixed strategy condition: Payoff of unused strategies ≤ Expected payoff of used strategies
