1/54
Looks like no tags are added yet.
Name | Mastery | Learn | Test | Matching | Spaced | Call with Kai |
|---|
No analytics yet
Send a link to your students to track their progress
What’s the difference between Biological materials & Biomaterials?
Biological materials: Materials produced by natural organisms. Describes resources and where they come from.
Biomaterials: Materials used for biomedical use (designed to repair/supplement human organs)
Biological materials
Materials produced by natural organisms. Describes resources & where they come from
Biomaterials
Materials used for biomedical use
Bio-inspired materials
Use biomaterial GEOMETRY with other materials. Materials whose design and/or synthesis was inspired by a natural material.
When did biological materials become intensely studied by engineers?
starting in 1990
What are the 3 areas of the natural materials paradigm?
Mechanical Function, Composition & Structure, Mechanical Properties
How many orders of magnitude do the mechanical properties of biological materials span?
5-6 orders of magnitude!
Nature produces things in-situ and from _____ (top down or bottom up)
Bottom up
What’s the impact of hierarchy in natural materials?
At each scale specific structures control specific mechanisms & behavior at microscale is the “sum” of contribution of the mechanisms at each scale
Functions in mechanical engineering design…
Are identified first and then the material with adequate properties is selected
Materials in nature… (to do with functions)
Are optimized for one or several specific functions. Function and properties are closely connected
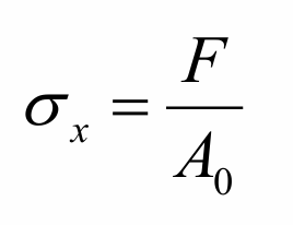
What is stress?
internal forces generated from external forces exerted on a component
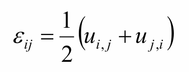
What is strain?
When a component deforms internally due to external loading
Measure of elongation, compression, and shear deformations.
What connects stresses & strains?
A constitutive law (T tensor & E tensor)
What does the simple tension tensor look like? (F in x direction)
Only normal stress


What does the pure bending stress tensor look like?

Where are the bending stresses highest on the femur?
Edges! There is denser bone there. Bone architecture follows directions of principal stresses

What is the small strains approx?
When strains are small (~5%) the 2nd order terms can be neglected.

What are the 3 types of strain and their formulas?
Engineering strain (e) = elongation / length in ref state = (l-L)/L
Natural strain (∂ɛ) = ∂l/l
Lagrangian strain (ɳ) = 1/2*((l/L)²-1
Formula for stretch (ʎ)
ʎ = l/L
What is the strain energy function?
A scalar energy density that quantifies how much elastic energy is stored in a material due to deformation
What is the strain energy function in terms of the stress strain relation?
s = dW/dλ or σ = dW/dɛ
What are 2 types of stress?
True stress (σ) = force / area in current state
Nominal stress (engineering stress) s = force / area in reference state
What are the 4 parts of the strain energy density function for a neo-Hookean material?

On what material does the Neo-Hookean model work well?
Rubbery materials like rubbers & hydrogels
What is the formula for the Mooney-Rivlin model?

When should you use the Neo-Hookean model?
simple elastic materials moderate strains
When should you use the Mooney Rivlin model?
Rubbers & elastomers. moderate stretches
When should you use the Ogden model?
Large strains, biological tissues, complex stiffening
When should you use the arruda-boyce model?
Polymers & elastomers. Finite extensibility
When should you use the Yeoh model?
Isotropic materials. Large deformations
When should you use the gent model?
Strain-stiffening materials. Approaching stretch limits
What is hardness?
A measure of how a material resists plastic deformation
How do you measure the following from a stress-strain curve? (stiffness/elastic mod, strength, extensibility/strain @ failure, stretchability, energy absorption, spring capacity)
Initial slope of stress-strain curve
Typically max stress on stress-strain curve
Strain at failure
Stretch ratio @ failure
Area under stress-strain curve
Area under stress-strain curve in elastic region
What are important considerations when doing a unidirectional tensile test on a biological material?
Specimen prep
Small specimens
Clamping
Hydration
Anisotropy
Age / gender difference
What complications can occur during compression testing?
Contact with platens
Friction at platens
Spurious stresses
What is nano/micro indentation?
Highly localized measurements of mechanical properties (including elastic mod, hardness, fracture toughness, viscoelasticity)
What are the pros of nano/micro indentation?
High spatial resolution
Small sample requirements
Minimally destructive testing
high throughput & automation
What is AFM indentation?
Atomic force microscope => detects deflection
How do you analyze data from nanoindentation?
Look @ load-displacement curve
What are the main material properties (used to pick materials for a certain use case)
Density
Stiffness
Strength
Strain @ failure
Work at failure
Hardness
Work of fracture
Toughness
Viscosity
Spring capability
What are the two fracture criteria?
Strength criterion
Fracture mechanics criteria
What is the strength criterion? (in fracture mechanics)
Fracture happens when the max local tensile stress reaches the material’s intrinsic strength
What is the fracture mechanics criteria?
Stress intensity reaches fracture toughness (K_I >= K_IC)
Griffith energy criterion: energy release rate reaches fracture energy (G >= G_c)
What is fracture energy (G_IC)?
G_IC = (K_IC²)/E
Energy consumed per unit area of crack in ruptured materials
Is fracture energy a material property?
YES
How do you determine fracture energy?
Look it up in a material data sheet (steel > alu > polymers > ceramics > glass)
Measure it experimentally through a fracture test
Numerical simulation
What is the process zone in fracture mechanics
Irwin proposed thing where there are small bubbles on edges of a crack where:
Plastic deformation
Viscoelasticity
Phase transformation
Breaking bonds
What is the stress concentration factor? (K_T)
σ_max / σ_0
What is the stress intensity factor? (K_I)
K_I = beta*σ*sqrt(pi*a)
A function of geometry, mechanical loads, shape/size of crack
Why do you want to make a large crack in the test specimen for a fracture toughness test?
Dominate any other natural crack/defect
Be measured
Why is smaller stronger?
Tensile strength = toughness / sqrt(pi*size). So if size is super small, then tensile strength is huge
What are 4 of the main elements used in nature?
C, H, O, N