1/30
Looks like no tags are added yet.
Name | Mastery | Learn | Test | Matching | Spaced | Call with Kai |
|---|
No analytics yet
Send a link to your students to track their progress
Hva er et koordinasjonskompleks?
Et metallion bundet til ligander via koordinative bindinger
Hva er en ligand?
Et molekyl/ion som donerer et elektronpar
Hva er koordinasjonstall?
Antall ligander bundet til metallet
Hva er et chelat?
Ligand som binder med flere donoratomer
Hva er vanlige geometrityper?
CN = 2 → lineær
CN = 4 → tetraedrisk / kvadratplan
CN = 6 → oktaedrisk
Hva er et oktaedrisk kompleks?
6 ligander rundt metallion
Hva er krystallfeltteori?
Modell som beskriver splitting av d-orbitaler
Hva er Δo?
Energiforskjell mellom d-orbitaler i oktaeder
Hva er paramagnetisk?
Har uparede elektroner
Hva er diamagnetisk?
Alle elektroner er paret
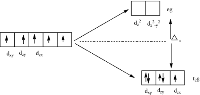
Hvordan splittes d-orbitaler i oktaedrisk felt?
t₂g (lav energi)
e_g (høy energi)

Hvorfor splittes orbitalene?
Elektrostatisk frastøtning fra ligander
Hva bestemmer høyspinn/lavspinn?
Δo vs paringsenergi
Hva er høyspinn?
Mange uparede elektroner
Hva er lavspinn?
Flere elektroner pares
Hva er formelen for amgnetisk moment?
μ = √(n(n+2)) μB
Hva er n i formelen for magnetisk moment?
Antall uparede elektroner
Hvordan splittes orbitaler i tetraedrisk felt?
Det er motsatt av oktaedrisk og mindre splitting

Hvorfor er tetraedriske komplekser nesten alltid høyspinn?
Δt er liten
Hva er LFSE?
Ligandfeltstabiliseringsenergi
Hva påvirker LFSE?
Elektronkonfigurasjon, geometri
Hva er Jahn-Teller-effekten?
Geometrisk forvrengning for å senke energi
Når skjer Jahn-Teller-effekten?
Når degenererte orbitaler er ulikt fylt (f.eks. d⁹)
Hvorfor er d⁸ ofte kvadratplan?
Stabilisering via splitting
Hva påvirker hydratiseringsenergi?
ioneradius
ladning
LFSE
Hva er rekkefølgen i Irving-Williams-rekken?
Mn²⁺ < Fe²⁺ < Co²⁺ < Ni²⁺ < Cu²⁺ > Zn²⁺
Hva skyldes Irving-Williams-rekken?
LFSE
ionestørrelse
Jahn–Teller
Hvorfor er 4d og 5d ofte lavspinn?
Større orbitaler → større Δo
Hvordan avgjøre magnetisme?
Tell uparede elektroner
Hvorfor er komplekser fargede?
d-d-overganger
Hva bestemmer fargen til komplekser?
Δo (energiforskjell)