1/20
Looks like no tags are added yet.
Name | Mastery | Learn | Test | Matching | Spaced | Call with Kai |
|---|
No analytics yet
Send a link to your students to track their progress

Arginine (Basic, positively charged)

Histidine (Basic, positively charged)

Lysine (Basic, positively charged)

Aspartic Acid (Acidic, negatively charged)

Glutamic Acid (Acidic, negatively charged)

Serine (Polar)

Threonine (Polar)

Asparagine (Polar)

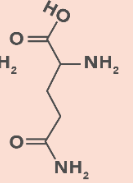
Glutamine (Polar)

Alanine (Non polar)

Valine (Non polar)

Isoleucine (Non-polar)

Leucine (Non polar)

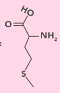
Methionine (Non polar)

Phenylalanine (Non polar)

Tyrosine (Non polar)

Tryptophan (Non polar)

Cysteine

Glycine

Proline
Essential Amino acids (We can’t produce these)
Isoleucine
Leucine
Valine
Phenylalanine
Tryptophan
Histidine
Lysine
Threonine
Methionine
I looked very plain to him like they mentioned