1/9
Looks like no tags are added yet.
Name | Mastery | Learn | Test | Matching | Spaced | Call with Kai |
|---|
No analytics yet
Send a link to your students to track their progress
Define 2 forms of material failure
Brittle fracture - little plastic deformation (ceramics, high strength metals)
Ductile fracture - extensive plastic defromation prior to fracture (most of metals and polymers)

Griffith energy balance equation

Sketch the change of the potential energy terms with respect to the crack length.Identify the point of unstable equilibrium and state the condition for a spontaneouspropagation of the crack.

Stress intensity factor formula

Fracture condition for K

What is the relationship between K and G

How to check if the specimen is thick enough

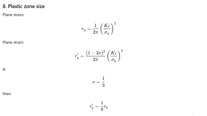
How to find plastic zone size

Yield-before-break condition

Leak-before-break condition
