1/59
Name | Mastery | Learn | Test | Matching | Spaced | Call with Kai |
|---|
No analytics yet
Send a link to your students to track their progress
f’ changes from positive to negative means…
f has a local max
f’ changes from negative to positive means…
f has a local min
Increasing f’ means f’’ is…
concave up
decreasing f’ means f’’ is…
concave down
f’’ changing sign means…
f has a point of inflection
4th step in Euler’s method
dy/dx times change in x plus y old
How to solve a slope field?
Look at (x,y) and match the slope
How do you solve differential equations?
Separate x and dx and y and dy, then integrate. Find C using initial condition
How to find carrying capacity of a logistic model?
dP/dt = 0
Area of a circle
πr²
Volume of a disk
pie times integral from a to b r²
How to find big R for a washer?
Axis of rotation minus curve (Largest radius)
How to find little r for a washer?
Axis of rotation minus curve (Smaller radius)
How to find volume of a washer
Pie times integral from A to B R²-r²
Area of a square (Volume)
A = S²
Area of a equilateral triangle (Volume)
A = root(3)/4 S²
What is “S” in a volume equation?
Top-Bottom or Right-Left
Area of a Semicircle (Volume)
A = pie/8 s²
Area of a Rectangle (Volume)
A = SH
Area of a Triangle (Volume)
A = ½ S H
Formula for integration by parts
uv - integral (v du)
Spell out ILATE
Inverse trig, logarithmic, algebraic, trig, exponential
When to use tabular method?
Polynomial times e^x, sin(x), cos(x)
If f is continuous on [a,b], then we are going to hit every single y-value between f(a) and f(b)
Intermediate value theorem
“where does the instantaneous rate of change equal the average rate of change?”
MVT or Rolle’s theorem
How to check when instant ROC equals average ROC
f’© = f(b)-f(a) / b-a
How to find the average of a function?
1/ b - a times integral from a to b f(x) dx
Trapezoidal sum
A = 1/2H(b1 plus b2)
What does H represent in a trapezoidal sum?
The width
What does the base represent in a trapezoidal sum?
The height
How to find speed in parametric/vector


How to find speed in rectangular?
Absolute value of velocity
How to find total distance traveled in rectangular
Integral from a to b of absolute value of velocity
how to find total distance traveled/arc length in parametric/vector
integral from a to b of speed
What is displacement?
End - Beginning
How to find displacement in rectangular
integral from a to b of velocity
When is a particle at rest in rectangular?
v(t) = 0
When is a particle at rest in parametric/vector
x’(t) = 0 AND y’(t) = 0
Slope of a tangent line in parametric
dy/dt / dx/dt - two seperate derivatives
how to find second derivative in parametric
Deriv of dy/dx over dx/dt (original)
What is the area formula for polar?
½ times the integral from a to b of r(theta) squared
What is the arc length formula for rectangular?
integral from a to b of square root 1 plus (f’)²
What is the arc length formula for polar?
Integral from a to b of square root r² plus (r’)²
Maclaurin series for sin(x)


Maclaurin series for cos(x)


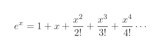
Maclaurin series for e^x


Maclaurin series for 1/1-x


What is the general Taylor Series?

What is the alternating series error?
If the series is alternating and converging, then the remainder is less than the next omitted term in the series.
What is the formula for Lagrange error?

How do I power-reduce sin(x)² ?
1 - cos(2x) / 2
How do I power reduce cos(x)²
1 + cos(2x) / 2

What antiderivative does this integral give you?
arcsin(x/a) + c

What antiderivative does this integral give you?
1/a arcsec(x/a) + c

What antiderivative does this integral give you?
1/a arctan(x/a) + c
What is the antiderivative of a^x
a^x / ln(a) + c
What is the derivative of tan(x)
sec(x)²
What is the derivative of sec(x)
sec(x) tan(x)
What is the derivative of a^x
a^x times ln(a)