1/18
Looks like no tags are added yet.
Name | Mastery | Learn | Test | Matching | Spaced | Call with Kai |
|---|
No analytics yet
Send a link to your students to track their progress

Expansion of a4b2 + a2b4 when given ab and (a + b).
Did you get the answer correctly? Assess the difficulty of this task and choose between the options below accordingly.
Generate a random quadratic trinomial and factor it.
Did you get the answer correctly? Assess the difficulty of this task and choose between the options below accordingly.
Use a random number generator to generate a three-digit number. Then, find the sum of all its positive factors.
Did you get the answer correctly? Assess the difficulty of this task and choose between the options below accordingly.
Use a random number generator to generate a three-digit number. Then, find the number of simplified proper fractions with this three-digit number as its denominator.

Recall the arithmetic series formula when solving for the nth term.

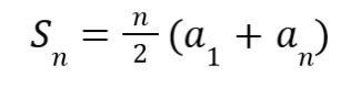
Recall the sum of an arithmetic series when the last term is known.

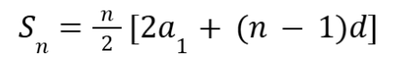
Recall the sum of an arithmetic series when the last term is unknown.

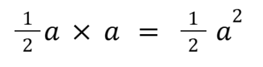
Recall the formula for the area of an isosceles right triangle where the two legs have equal length, or more generally, the area of a triangle wherein the base and height are equal.

Recall the formula for the sum of the interior angles of a regular polygon, where N is the number of sides.

Recall the formula for each exterior angle of a regular polygon.

…wherein n = the total number of items in a set and r = the number of items to be chosen.
Recall the combination formula and clarify what the variables represent.

Recall the formula for the surface area of a cuboid.

Recall Vieta’s formula for the sum of the roots of a quadratic equation.

Recall Vieta’s formula for the product of the roots of a quadratic equation.

The formula for getting the inradius of a regular octagon.

Simplified version of a³ + ab² + a²b + b³ when given ab and a + b.

The formula for the number of terms in an arithmetic sequence.

The formula for getting the inradius of a regular hexagon.