1/106
Looks like no tags are added yet.
Name | Mastery | Learn | Test | Matching | Spaced | Call with Kai |
|---|
No analytics yet
Send a link to your students to track their progress
What is the Critical zone?
Earth's permeable layer from the tops of trees to the bottom of actively cycling groundwater” .
It is where rock, soil, water, air and organisms interact.
Why is the critical zone considered ‘critical’?
It provides energy and nutrients to ecosystems, controls runoff and infiltration, mediates toxin release, and controls groundwater chemistry.
What makes the critical zone a scientific approach?
It links processes into one system, focuses on feedbacks, and aims for long‑term sustainability of critical functions.
What are the 6 major controls on the Critical zone?
Lithology
Climate
Biology
Topography
Time
Disturbance
How are CZ sites compared?
Along gradients due to the number of controls. Limit variables, making it easier to indentify and quantify feedbacks between processes
Which lithological properties influence CZ processes?
Grain size
texture
porosity
mineralogy
chemical composition
thickness
age
What are the properties of the Critical zone?
Thickness
Porosity
Mineralogy
Chemical composition
Topography
Organism types and abundances
What controls weathering in volcaniclastics [in Puerto Rico]?
Via pyrite dissolution which generates acids and Mg minerals dissolve quickly
What are the CZ characteristics of volcaniclastics?
Fastest weathering
highest porosity
highest infiltration
deepest soils
Why does quartz diorite produce steep topography [in Puerto Rico]?
It is prone to landslides dues to its layered structure
What controls weathering in quartz diorite?
Biotite oxidation which causes spheroifal fracturing
What are the characteristics of metavolcanics?
Slowest erosion
lowest infiltration
cloud forest, bogs, and highest peaks.
What makes ultramafic rocks unique in the CZ
Very high Mg and heavy metals
low in major nutrients
toxic to many plants and microorganisms
What are the ecological consequences of ultramafic soils?
Low biodiversity
Prescence of genetically adapted species (hyperaccumulation of metals)
Endemic species
What is the signicance of silicate rocks?
Their mineral structues are chemically stable, making them slower to weather.
Which physical properties of rocks influence soil formation?
Permeability
porosity
grain size
root penetration
carbon sequestration
nutrient release and water ingress.
Which minerals to crysallise first and last in Bowens reaction series?
first: olivine (high temp)
last: quartz (low temp, more resistant to weathering)
How do intrusive and extrusive igneoius rocks differ texturally?
Intrusive rocks cool slowly → large crystals, interlocking textures, low pore space.
Extrusive rocks cool rapidly → fine crystals, volcanic glass, bubbles → higher pore space.
How does silica content influence eruption types?
Higher silica increases melt viscosity, leading to explosive eruptions
Lower silica produces effusive, slower-cooling lava flows
Why are volcanoes important in the Critical zone development?
They act as lithological and disturbance agents; releasing elements, perturbing landscapes, interrupting biogeochemical processes and supplying new CZ materials
What are ignimbrites and how do they form?
Extremely hot pyroclastic flows that weld together into rock → they contain no minerals and are just fused fragments
What is the difference between consolidated and unconsolidated volcanic deposits?
Consolidated deposits are lithified (e.g., ignimbrites), while unconsolidated deposits include ash, tephra, and loose pyroclastics.
What are andisols and why are they important?
Soils formed from porous, low‑density volcanic clastic rocks with high nutrient potential. They cover
Why do volcanic rocks often produce fertile soils?
They contain abundant alkalis (Na and K) and nutrient‑rich minerals that weather into nutrient‑rich soils.
How does volcanic disturbance influence soil development?
Eruptions reset ecosystems, add fresh mineral material, and create heterogeneous substrates that the Critical Zone exploits.
How does the Critical zone differe from solid rock?
It is disaggregated - broken up into pieces, less dense, has more pore space, more water, different colours and minerals and contains plants
What is congruent dissolution?
Weathering where products are dissolved ions and leaves no/little solid residue.
What is incongruent dissolution?
Weathering where some solid produts remain (clays, hydroxides)
What factors influence the order in which minerals weather?
Spatial relationships
mineral abundance/assemblage
water–rock interaction
mineral surface area
accumulation of weathering products.
What are the main types of primary minerals involved in chemical weathering?
Carbonates
phosphates
sulfates
aluminsilicates
What clay minerals form under weak vs intense weathering of aluminiosilicates?
Weak weathering forms silicic acid and soluble cation and 2:1 clay
Intense weathering forms more silicic acid, soluble cation and 1:1 clay
How do clays differ from primary aluminosilicates?
They have high OH and water:oxygen ratios and higher Al:Si ratios due to Si loss
What weathering products do silicates form?
Soluble ions, metal hydroxides, and amorphous/poorly crystalline materials.
What is volcanic glass and how does it weather?
An igneous rock that cooled too quickly to form crystals; it dissolves and precipitates as allophane (amorphous) or imogolite (paracrystalline)
What does the presence of allophane or imogolite indicate?
An andisol → a soil formed from volcanic ash
What is residual parent material?
Material formed in situ from weathered rock
How does climate affect residual plant material
Warm/humid → strongly leached, oxidised, red/yellow
Cool/dry → resembles original rock; parent material dominates soil properties
Where does organic parent material form?
Wet areas with poor drainage where decomposition is .limited by lack of O2 allowing organic matter to accumulate
What characterisies colluvial parent material?
Coarse, rocky angular, poorly sorted, well-drained but landslide prone


What is loess and why is it important?
Wind blown silt with fine sand and clay: forms fertile silty soils (e.g: China)
What are the characteristics of volcanic ash parent material?
forms andisols. ashe weather quick, is nutrient rich, light, porous abnd accumulates organic matter rapidly
What are the 4 main components fo soil?
Air, water, mineral particles and organic matter
What proportion of soil is typically pore space vs solid material?
50:50
What are soil colloids and why are they important?
Particles <1 μm with high surface area and electrical charge; they have a soil fractions which makes them “responsible for most chemical activity” in soils.
Which materials make up most soil colloids?
Clays and soil organic matter
What is the difference between primary and secondary materials?
Primary = form by cooling magnma
secondary = form form weathering
Why particle fraction contributes most to nutrient retention?
Clay - as it has high attraction to water and nutrients
What is soil texture?
The proportion of sand, silt and clay in a soil
What is a loam?
A soil with roughly equal proportions of sand, silt and clay
What is SOM and why is it important?
Soil organic matter is a major nutrient source and has high warer-holding capacity
Humus is the main SOM colloid
What gases dominate soil air compared to atmosphere?
Soil CO2 is 1–5% vs ~0.04% in the atmosphere; soil O₂ is lower (~5–15%).
What is field capacity?
The amount of water soil holds after gravitational water drains; it is the water available for plant growth.
What are the four main soil-forming processes?
Additions: SOM (plant debris), dust, salts/minerals
Losses: Leaching, erosion, SOM decay
Transformations: chemical weathering, dissolution, oxidation, precipitation; SOM decay
Translocations: movement of material within the soil

What distinguishes young from mature soils?
The degree of profile development (horizon formation), not necessarily its chronological age

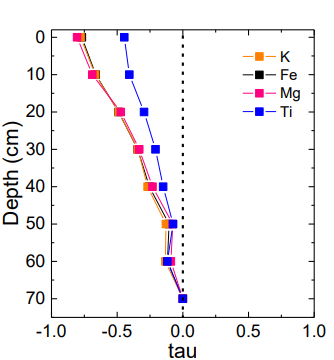
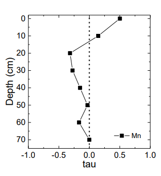
What is the equation to work out the mass transfer in a CZ profile?

What do different mass transfer values mean?
Tau = 0, immobile
Tau = -1, element totally lost
Tau ˃ 0, element gained
What does a depletion profile look like?
When tau DECREASES upward (away from parent rock), elemnets are being lost overtime

What does an addition profile look like?
When tau INCREASES above the parent rock, elements are being gained overtime [creates paleosol]
![<p>When tau INCREASES above the parent rock, elements are being gained overtime [creates paleosol]</p>](https://assets.knowt.com/user-attachments/2cea26fd-abac-4c9f-9ce6-b3797d90e02f.png)
What does a Biogenic profile look like?
When tau of a NUTRIENT element INCREASES at surface, it’s likely plants arer concentrating the element (biolifting)


What are the three main fractions of soil organic matter?
(1) Decomposing residues
(2) lLiving biota
(3) Resitant organic matter
What are the essential macronutrients for soil fertility?
N, P, K, Ca, Mg, S, Fe.
What are the essential micronutrients?
Fe, Mn, B, Cu, Zn, Mo, Se.
Why is SOM important for soil fertility?
It stores nutrient ions and water, buffers polutants and pH/mosirure fluctuations, affects colour and temp and is a major carbon reservoir
What are the three SOM resistrtance categories?
RPM: Resistant plant material → hard to break down
POM: physically → not accesible to organisms can’t get through
COM: chemically → its chemical form makes it hard to break down
What is dynamic equilibrium in SOM?
Continuous flow between SOM categories over different timescales
What is the average turnover time of soil organic carbon?
~22 years
What are the turnover years of the five SOC fractions?
DPM: 0.165 years
BIO: 1.69 years
RPM: 2.31 years
POM: 49.5 years
COM: 1980 years
What is the equilibrium composition of SOM?
COM 50%, POM 47%, RPM 2%, BIO 1%, DPM 0%.
How does SOM influence soil structure?
It forms aggregates via reactions with clays and Fe/Al oxides, improving aeration, water retention and stability
Why do clay-rich soils have more SOM?
small pore spaces restrict aeration → slows decomposition allowing SOM to accumulate
Which nutrient pool is most bioavailable on agricultural timescales
Adsorbed ions
What is CEC and what factors controls it?
The total amount of positively charged ions a soil can hold → measures nutrient availability and soil fertility
Factors: colloid type, surface area, relative abundant and pH
How is CEC measured?
Leach soil with NH₄‑acetate to remove adsorbed cations
Displace NH₄⁺ with KCl
Measure NH₄⁺ released
What is the importance of base saturation?
Soils with high BS are more fertile because they have higher pH, little/no Al³⁺, and more nutrient cations (K⁺, Ca²⁺, Mg²⁺).