1/60
Looks like no tags are added yet.
Name | Mastery | Learn | Test | Matching | Spaced | Call with Kai |
|---|
No analytics yet
Send a link to your students to track their progress































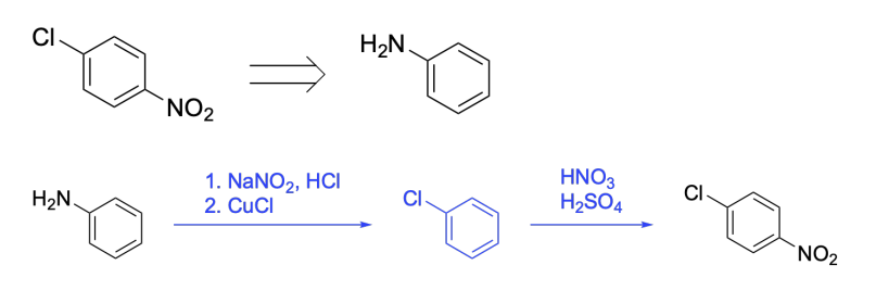
Sandmeyer reaction



Nucleophillic aromatic substitution

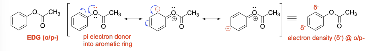
EDGs/Halogens direct…
ortho para
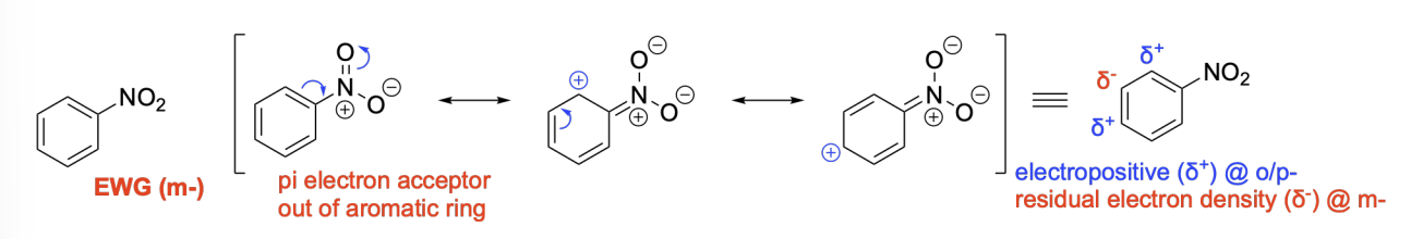
EWGs direct…
meta
EDGs vs. EWGs - who takes priority?
EDGs!

mechanism


mechanism


mechanism


mechanism


mechansim


mechanism


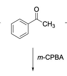
DE?


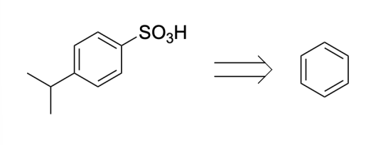
DE?


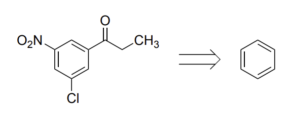
DE?


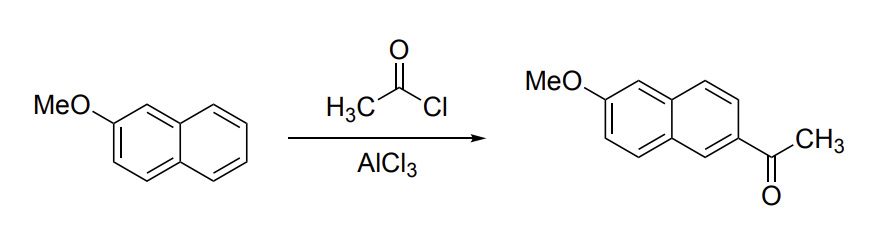
DE?


DE?


DE?


















s








s


mechanism


mechanism


mechanism


mechanism


mechanism


mechansim

PAGE 4 of DS#7











