1/22
Looks like no tags are added yet.
Name | Mastery | Learn | Test | Matching | Spaced | Call with Kai |
|---|
No analytics yet
Send a link to your students to track their progress

CTHH?
OLEAN
5 vòng 6 cạnh
3-β-hydroxyolean-12-ene

CTHH?
URSAN
α-amyrin
3-β-hydroxyursan-12-ene

CTHH?
4 VÒNG 6 CẠNH 1 5 CẠNH
Lupan có Δ20 – 29 : saponin trong rễ cây Ô rô, ngũ gia bì chân chim

HOPAN
4 VÒNG 6 CẠNH 1 5 CẠNH
Saponin triterpenoid
TETRACYCLIC gồm
DAMMARAN
LANOSTAN
CUCURBITAN

DAMMARAN
Aglycon : 4 vòng + 1 mạch nhánh
Dammaran đại diện là saponin của
nhân sâm

LANOSTAN
4 vòng + 1 mạch nhánh
LANOSTAN khác dammaran tại
C18 và C21
LANOSTAN đại diện là saponin của
hải sâm

CUCURBITAN
4 vòng + 1 mạch nhánh
CUCURBITAN giống Lanostan tại
C18 và C21
CUCURBITAN khác Lanostan tại
CH3 – C9
SAPONIN STEROID gồm bao nhiêu C
27C

spirostan
1. Sarsasapogenin
2. Smilagenin
3. Tigogenin

1. Sarsapogenin (25S)
2. Smilagenin (25R)
3. Tigogenin (25R)
Vòng C và D : trans (khác glycosid tim)
A và B : cis (sarsapogenin và smilagenin)
A và B : trans (tigogenin)
OH –C3 : β
Nhóm Spirostan
là nguồn nguyên liệu bán tổng hợp các thuốc steroid
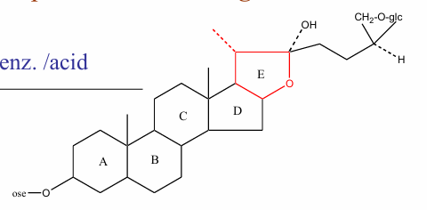
Nhóm Furostan
giống như spirostan, khác vòng F


Nhóm Furostan
Nhóm Furostan

Nhóm Aminofurostan
giống như furostan với vòng F mở và NH2-C3

Nhóm Spirosolan
khác spirostan ở nguyên tử oxy của vòng F thay = NH

Nhóm Solanidan
vòng E và F cùng chung 1C và 1N

3 nhóm aminofurostan, spirosolan và solanidan đều có
chứa N
glycoalcaloid