1/32
Looks like no tags are added yet.
Name | Mastery | Learn | Test | Matching | Spaced | Call with Kai |
|---|
No analytics yet
Send a link to your students to track their progress
what are DNA and RNA
polymers made up of monomers called nucleosides
what do nucleosides contain
a sugar and a base
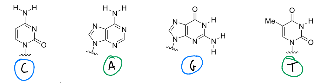
bases/nucleosides/amino acids structures
emailed megan
what are the two classes of nucleosides
purines and pyrimidines
which nucleosides are purines
adenosine (A) and guanosine (G)
which nucleosides are pyrimidines
cytidine (C), thymidine (T) and uridine (U)
how are nucleosides linked to one another
phosphate diesters between their 3’ and 5’ hydroxy groups

pKa of DNA and RNA
negatively charged, pKa = 1.3 (approx)

show H bonding pairs and how they form their H bonds
tip for drawing them?

helicity of DNA
right-hand
what does the right-hand helicity of DNA arise from
the bases and ribose ring are at 90° to each other
the geometry of the ribose ring gives DNA its helicity
the DNA double helix has two different grooves of different sizes (major and minor) which correspond to the top and bottom faces of the DNA bases
what is the minor groove of DNA used for
common target for drugs and imaging molecules due to its distinctive shape
ΔS for DNA
when is it higher/lower?
hydrophobic?
entropy penalty for bringing two strands together
lower penalty for subsequent assembly
hydrophobic effect = release of bulk solvent → no loss of H bonds but the release of water causes more disorder
ΔH for DNA
many intermolecular interactions so enthalpically favoured
what are intermolecular interactions between the nucleic acid bases described as and what does this mean
cooperative
double helix assembly becomes easier as it progresses
why are the intermolecular interactions cooperative for DNA
the interactions between two bases pre-organises the next pair in the chains, making the next interaction more likely to occur
ΔGbinding for DNA? (7 components)
classify them into intermolecular interactions, hydrophobic effect and entropy penalties


find ΔG° for this sequence

biological role of DNA
stores genetic information and serves as a recipe book for protein synthesis
biological role of RNA
many functions, one of which is to convert the genetic code of DNA into proteins
stages of protein synthesis

all steps in protein synthesis
mRNA makes a copy of the upper strand (5’ → 3’) using the lower strand (3’ → 5’) as a template
anti-codons of tRNA which are attached to amino acids pair to the mRNA strand
amino acids can join together

what is a gene
a sequences of bases in DNA that is transcribed to produce a functional molecule of RNA
what is a codon
a triplet of bases in mRNA that encodes for a specific amino acid
what is an anticodon
a triplet of bases in tRNA that corresponds to and recognises a codon
what is the amino acid corresponding to the start codon
methionine (Met)

what amino acid sequence would be constructed from this mRNA sequence


what DNA sequence could encode for the amino acid structure


what DNA base is this?
where does it H bond from?
what type of base is it?
adenine
purine


what DNA base is this?
where does it H bond from?
what type of base is it?
guanine
purine


what DNA base is this?
where does it H bond from?
what type of base is it?
thymine
pyrimidine


what DNA base is this?
where does it H bond from?
what type of base is it?
cytosine
pyrimidine


what is the difference between thymine and uracil?
uracil has no Me group
