1/29
Looks like no tags are added yet.
Name | Mastery | Learn | Test | Matching | Spaced | Call with Kai |
|---|
No analytics yet
Send a link to your students to track their progress
4x+2h+1
Find the Difference Quotient of:

-7
What is the y-intercept of:

-9
What is the y-intercept of:

-1
What is the axis of symmetry of:

-1/10
What is the axis of symmetry of:

1/2
What is the axis of symmetry of:

-1/4
What is the axis of symmetry of:

(4,-55)
What is the vertex of:

(-3,-6)
What is the vertex of:

(3,10)
What is the vertex of:

17
What is the maximum height?

6x+3h+2
Find the difference quotient of:

9.625
After how many seconds until the maximum height is reached?

All Real numbers except x≠2, -2

All Real numbers except x≠1, -1

neither
Is the following function even, odd, or neither?

odd
Is the following function even, odd, or neither?

even
Is the following function even, odd, or neither? f(x)=5x^2
x < 2

x < 0

(-1,3)
Find the vertex of y=x²+2x+4
0
Find the axis of symmetry of y=x²+1
Minimum
Does y=3x²-6x-1 have a minimum or a maximum?
Maximum
Does y=-x²-4x+1 have a minimum or a maximum?
145

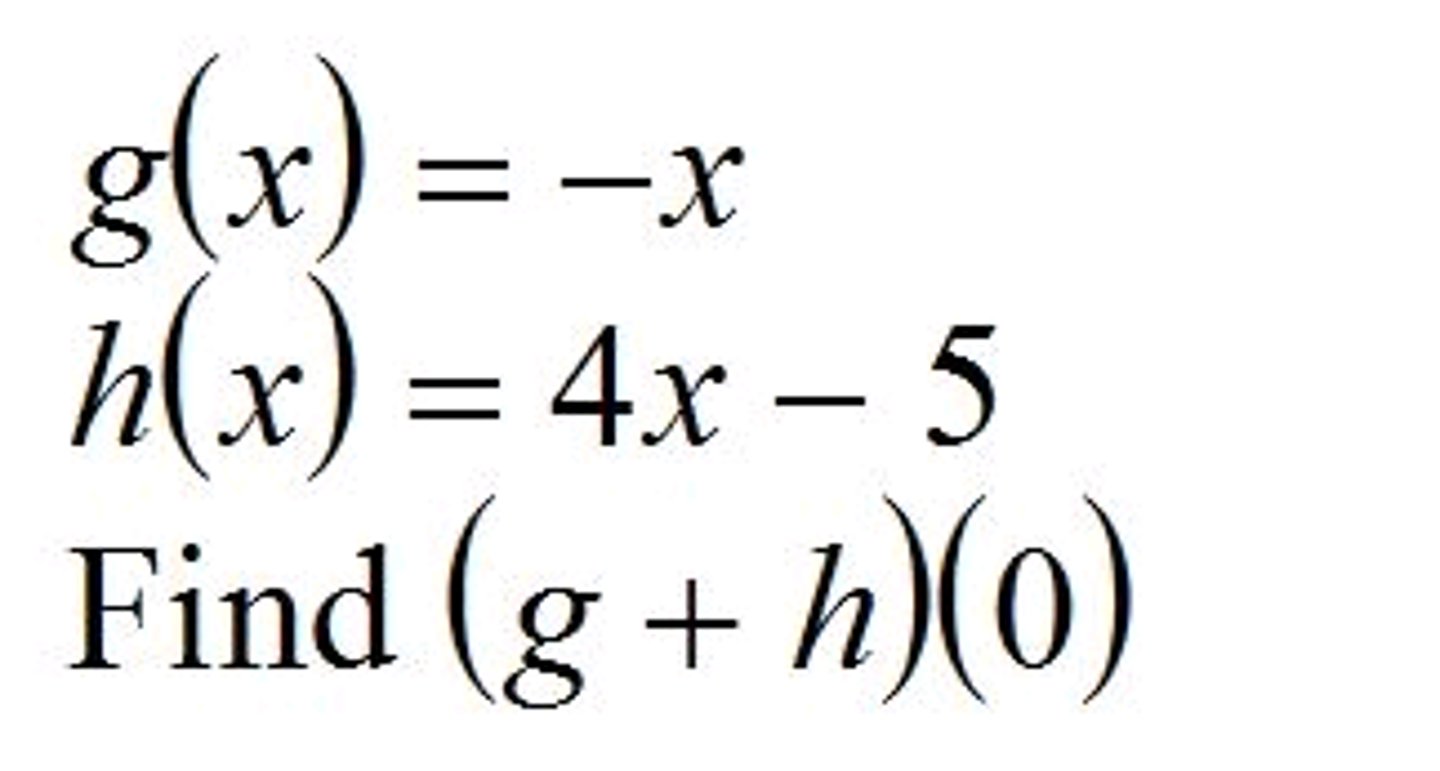
-5

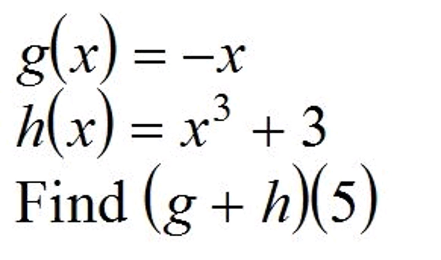
8

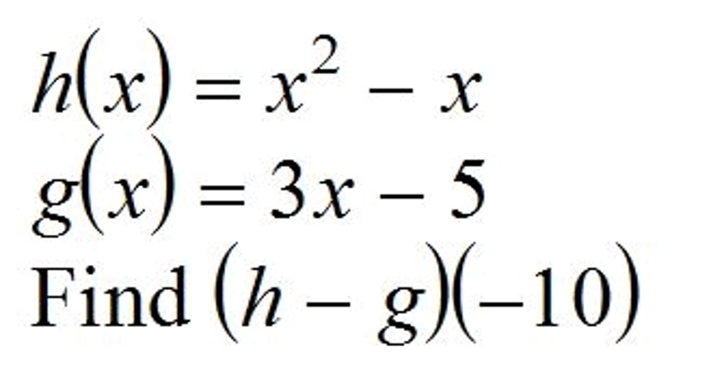
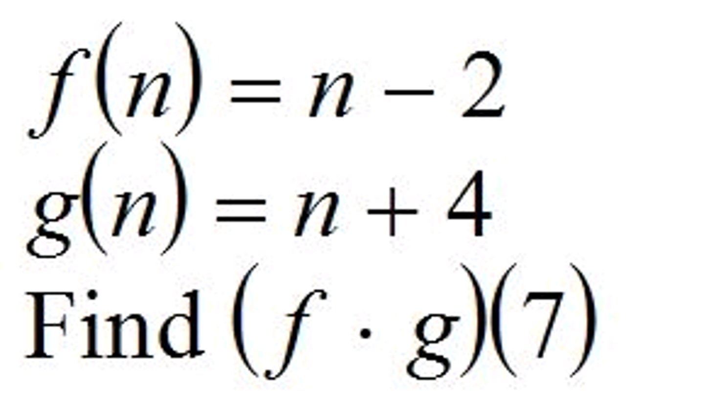
123

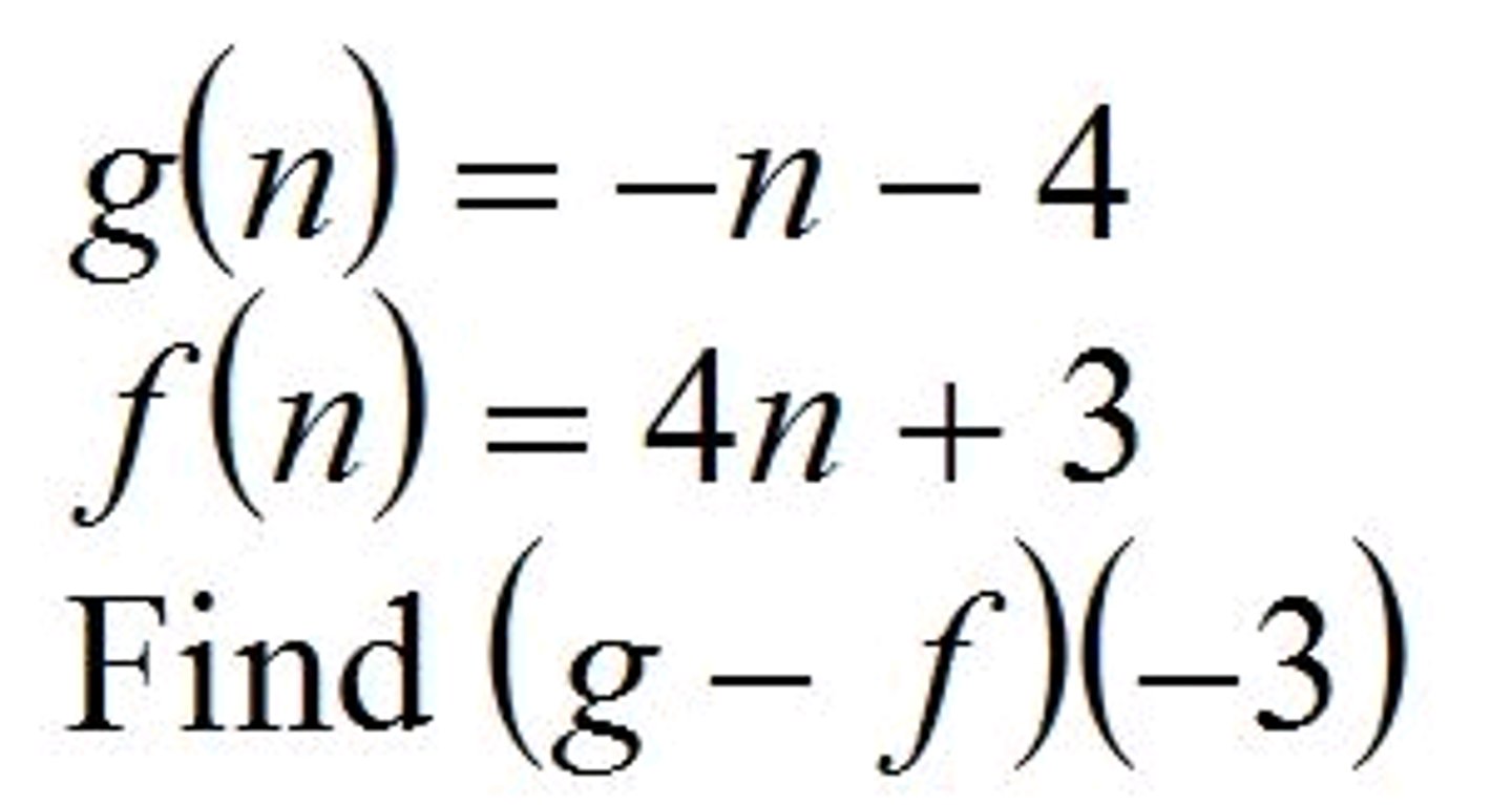
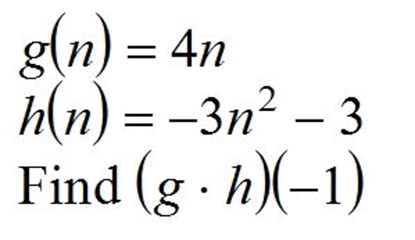
55

24
