1/100
Looks like no tags are added yet.
Name | Mastery | Learn | Test | Matching | Spaced | Call with Kai |
|---|
No analytics yet
Send a link to your students to track their progress
What is the main goal of a public project?
To maximize societal benefit rather than profit.
What is the main goal of a private project?
To maximize profit and return on investment.
Why is benefit quantification more complex in public projects?
Because many benefits are non-monetary or indirect.
What is a “benefit” in public engineering projects?
Any positive effect experienced by users or society.
What is a disbenefit?
A negative effect caused by a project.
What is a primary benefit?
A direct effect of the project on users.
What is a secondary benefit?
An indirect or ripple effect caused by the project.
Example of a primary benefit of a new airport?
Faster travel and improved convenience.
Example of a secondary benefit of a new airport?
More jobs and economic growth in the region.
Why do public projects need dollar quantification?
To compare benefits against costs in economic analysis.
What is a “ripple effect” in public projects?
Indirect economic or social impacts beyond the project itself.
Why are secondary benefits important?
They can significantly increase total project value.
What is the key difference between public and private project evaluation?
Public focuses on societal welfare; private focuses on profit.
Do private companies consider disbenefits?
Yes, but only if they affect profitability.
Why are public projects harder to evaluate economically?
Many benefits (like convenience or safety) are hard to price.
What is “cost” in public project analysis?
All positive and negative cash flows affecting the sponsoring government entity.
What is the key difference in public cost accounting vs private accounting?
Public analysis focuses on societal cash flows tied to the government sponsor, not profit.
What are capital investments?
Upfront costs required to build or implement a project.
When do capital investments occur?
At the beginning of the project (time zero or construction phase).
Why are capital investments important in analysis?
They are usually the largest initial cash outflow.
What are Operating and Maintenance (O&M) costs?
Recurring annual costs to operate and maintain a project.
Examples of O&M costs?
Staff salaries, repairs, electricity, cleaning, maintenance.
When do O&M costs occur?
Every year during the life of the project.
What are revenues in public projects?
Income collected from users during operation (e.g., tolls, parking fees).
Do revenues count as benefits in public analysis?
No.
What is the correct role of revenues in cost analysis?
They reduce total project cost.
Why are revenues NOT considered benefits?
Because they are transfers of money, not net societal gain.
What is the key mistake students make with revenues?
Treating revenues as benefits instead of cost offsets.
In public engineering economy, what is a benefit?
A positive societal impact, not cash inflow.
What are the three main cost categories in public projects?
Capital investments
Operating & maintenance costs
Revenue offsets
What is the correct mindset for public project cash flows?
Costs include all cash outflows minus revenues; benefits are separate societal gains.
What is Benefit–Cost Analysis (BCA)?
A method for comparing a project by evaluating its expected benefits versus its costs.
Where is BCA most commonly used?
In public (government) engineering projects.
What is the main purpose of BCA?
To determine whether a project is worth implementing based on net societal value.
What is the definition of benefits in public BCA?
All positive effects experienced by users minus any negative effects.
Formula for benefits (B)?
B=user benefits−user disbenefits
What are user benefits?
Positive impacts experienced by the public (e.g., faster travel, convenience).
What are disbenefits?
Negative impacts experienced by users (e.g., noise, congestion, pollution).
What is included in costs (C) in BCA?
All costs borne by the sponsoring government entity.
Formula for costs (C)?
C=capital cost+O&M costs−revenues
What are capital costs?
Upfront construction or implementation costs.
What are O&M costs?
Ongoing operating and maintenance expenses over time.
What are revenues in BCA?
Income collected from users (e.g., tolls, fees).
Who are benefits measured for in BCA?
The public/users.
Who are costs measured for in BCA?
The sponsoring government entity.
What indicates a good public project in BCA?
When benefits exceed costs (B > C).
What is the first step in evaluating a public project?
Identify positive and negative impacts on the public users.
What is Step 2 in public project evaluation?
Quantify benefits and disbenefits.
What is Step 3 in public project evaluation?
Identify and quantify all costs to the sponsoring government entity.
What is Step 4 in public project evaluation?
Select an appropriate discount rate (social discount rate).
What is Step 5 in public project evaluation?
Determine net benefits and net costs.
What is Step 6 in public project evaluation?
Accept the project if net benefits > net costs.
What is the social discount rate?
The rate used to evaluate public projects based on how society values money over time.
Why can’t MARR be used in public projects?
Because MARR is based on private-sector profit requirements, not societal welfare.
What does the social discount rate represent?
Society’s time value of money for public decision-making.
What rate is used for projects with no private-sector equivalent?
Government borrowing rate.
Example of a project with no private counterpart?
Flood control dams.
What rate is used for projects with private-sector equivalents?
Market interest rates.
What should you do if the interest rate is not given?
Use the government’s specified discount rate or sliding scale.
Why is selecting the correct discount rate important?
It strongly affects present worth of benefits and costs.
What decision rule is used at the end of public evaluation?
Accept if net benefits > net costs.
What is the key difference between public and private discounting?
Public uses social value of money; private uses profit-based MARR.
B=
B= PW of net user benefits
bn=net user benefits at end of period n
i= social discount rate
N= project life

C=
C= PW of net sponsor costs
cn= net sponsor costs at end of period n
i= social discount rate
N= project life

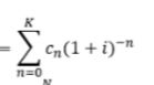
sponsors costs: I=
K= number of periods of investment needed to get project operational
cn= net sponsor costs at end of period n
N= project life
i= social discount rate

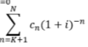
sponsors costs: C’=
K= number of periods of investment needed to get project operational
cn= net sponsor costs at end of period n
N= project life
i= social discount rate

benefit cost ratio BC(i)=
B/C = B/(I+C’) where I+C’>0
for public projects!
BC value: if BC is greater than or equal to 1,
accept the project
B
equivalent worth of project benefits
C
equivalent worth of costs resulting from the project
How are B and C defined in present worth analysis?
Both are defined using the present worth of cash flows: benefits and costs are converted to PW terms.
What does the B/C ratio represent?
The ratio of present worth of benefits to present worth of costs.
What is the decision rule for B/C analysis?
Accept the project if B/C>1
What is the relationship between B/C and NPW?
B/C>1 is equivalent to NPW>0
Can B/C analysis be done using annual equivalent values?
Yes, benefits and costs can be expressed as annual equivalent worth (AEW).
What is the decision rule using AEW?
Accept the project if AEW>0
What is the relationship between AEW and B/C?
B/C>1 is equivalent to AEW>0
Are B and C both positive in B/C analysis?
Yes, both are treated as positive magnitudes in the ratio.
What do “positive benefits” represent?
Inflows to the public (societal gains).
What do “positive costs” represent?
Outflows from the sponsoring government entity.
GTR is considering expanding the airport.
Costs:
land: 300k
construction costs: 600k
annual O&M cost: 122.5k
Annual other costs: 75k
Benefits:
rental receipts: 325k
taxes: 65k
convenience: 50k
tourism: 50k
if n = 20, and I = 10%, should GTR expand? Use the benefit-cost ratio to
justify your answer.
total annual cost: 122.5 + 75 = 197500 per year
annual benefits: 325+65+50+50=490k per year
present worth factor: (P/A,10%, 20) = 8.5136
PB= 490k*8.5136= 4,171,664
PC= 197500×8.5136=1,681,184
add initial costs and add to Pc
B/C= PB/PC= 1.62
yes!
What is incremental B/C analysis used for?
Comparing two or more public projects to decide which one is better.
Why can’t we simply choose the project with the highest B/C ratio?
Because ratios alone ignore differences in scale; we must compare incremental differences.
What is the key idea behind incremental analysis?
Compare the extra benefit versus the extra cost between alternatives.
What is ΔB?
Incremental (extra) benefits of one project over another.
What is ΔC?
Incremental (extra) costs of one project over another.
What is the incremental B/C ratio formula?
ΔB/ΔC
If ΔB/ΔC>1 what should you do?
Choose the higher-cost project.
If ΔB/ΔC<1 what should you do?
Choose the lower-cost project.
What does ΔB/ΔC=1 mean?
alternatives are economically equivalent
What question does incremental B/C analysis answer?
“Is the extra benefit worth the extra cost?”
What must be done before computing ΔB/ΔC?
Rank projects by increasing cost first.
step 1 in incremental analysis
determine the number of mutually exclusive projects to consider
eliminate any projects with individual B/C <1
step 2 in incremental analysis
arrange the remaining projects in order of increasing cost (I+C’)
label the project with the smallest cost as project A, the second smallest as B
step 3 in incremental analysis
compute incremental differences for the B, I and C’ terms between the first two projects
deltaB= BB-BA
etc.
step 4 in incremental analysis
compute BC(i) for the incremental investment
=deltaB/(deltaI+deltaC’)
if BC(i)B-A > 1, select B.
step 5 in incremental analysis
if there are more than two projects, compare the alternative selected from the previous step to the next project
continue comparing BC(i)
the project selected at the end is the best

solve
project 1
benefits: 5M
costs: 2M+1M = 3M
project 2
benefits: 11M
costs:7M+2M=9M
step 2: rank
lower cost: project 1
step 3: compute incremental values (p2-p1)
deltaB:11-5=6M
deltaC:9-3=6M
step 4: ratio
=1
economically equivalent!
A local government is considering promoting tourism in the city. It will cost $5,000 to develop a plan. The anticipated annual benefits and costs are as follows:
Annual benefits: Increased local income and tax collections | $117,400 | |
|---|---|---|
Annual support service: Parking lot expansion, rest room, patrol car, and street repair | $48,830 |
If the city government uses a discount rate of 6% and a study period of five years, is this tourism project justifiable according to the benefit-cost analysis?
B=117,400
C=5,000 initially, 48,830 annually
(P/A,6%,5)=4.2124
PB=117,400×4.2124=494535
PC=48830×4.2124 + 5000=210,735
B/C=2.35
good!
A city government is considering increasing the capacity of the current waste-water treatment plant. The estimated financial data for the project are given in the table below. Calculate the benefit-cost ratio for this capacity expansion project.
Capital investment | $1,200,000 | |
Project life | 25 years | |
Incremental annual benefits | $250,000 | |
Incremental annual costs | $100,000 | |
Salvage value | $50,000 | |
Discount rate | 6 % |
Annual:
Benefits: B=250,000
Costs: C=100,000
(P/A,6%,25)≈12.783
PB=250,000×12.783≈3,195,750
PC= 100,000×12.783=1,278,300 + 1.2M
salvage: Psalvage= 50k/(1.06)^(25) =11,650
subtract from costs
B/C=1.30