1/53
Looks like no tags are added yet.
Name | Mastery | Learn | Test | Matching | Spaced | Call with Kai |
|---|
No analytics yet
Send a link to your students to track their progress
Gene
A segment of DNA that contains the instructions for making a specific protein or RNA molecule.
Base pairing
The specific hydrogen bonding between purines and pyrimidines in DNA or RNA (A with T or U, G with C).
Complementary base pairing
The matching of DNA or RNA bases through hydrogen bonds: 1. Puridines pair with pyrimidines. 2. A pairs with T (or U in RNA), and G pairs with C.
Also stacking of base pairs has van der waals interactions that support the structure

Antiparallel
The orientation of the two strands of DNA running in opposite directions (5' to 3' and 3' to 5').

Genome
Complete set of genetic material (DNA) in an organism
Chromosome
long organized structure of DNA and protein that contains many genes; humans have 46 chromosomes in somatic cells
Somatic cell
any cell in the body not sperm or egg; contains full set of chromosomes
Histone
A family of proteins that associate with DNA in the nucleus and help condense it into chromatin.
Nucleosome
The fundamental unit of chromatin, consisting of DNA wrapped around a core of histone proteins

Chromatin
A complex of DNA and protein found in eukaryotic cells that condenses to form chromosomes during cell division

ATP Dependent chromatin remodeling complex
A protein complex that uses the energy from ATP hydrolysis to reposition or restructure nucleosomes
Histone tail
The flexible N-terminal region of a histone protein that extends out from the nucleosome and can be modified to affect DNA/gene accessibility

Homologous chromosome
Pairs of matching chromosomes, one inherited from each parent, found in somatic cells, containing the same genes in the same order but potentially different alleles (versions of a gene
Aneuploidy
A genetic condition characterized by an abnormal number of chromosomes (missing: monosomy or extra: trisomy)
Semiconservative replication
Each new DNA molecule consists of one original strand and one newly synthesized strand

Origin of replication
A-T rich sequence(s) in the genome where DNA replication begins

Replication bubble
The unwound and open region of a DNA molecule where replication occurs
Replication fork
The Y-shaped structure formed where the DNA is split into two strands for replication. Occurs at each end of the replication bubble
Helicase
Enzyme that unwinds the DNA double helix at the replication fork

Single-strand binding protein???????????
Proteins that bind to and stabilize single-stranded DNA to prevent re-annealing???????
Topoisomerase
An enzyme that relieves tension ahead of the replication fork by cutting and rejoining DNA strands

Primase
An enzyme that synthesizes short RNA primers needed to start DNA synthesis.
DNA polyemerase
The enzyme that synthesizes new DNA strands by adding nucleotides to a primer or pre-existing strand

Sliding clamp
A protein that holds DNA polymerase in place during strand extension

Telomerase
An enzyme that extends the ends of linear chromosomes (telomeres)

Leading strand
The DNA strand that is synthesized continuously in the direction of the replication fork

Lagging strand
The DNA strand synthesized discontinuously away from the replication fork

Okazaki fragment
Short DNA fragments synthesized on the lagging strand

End replication problem
The inability of DNA polymerase to fully replicate the ends of linear chromosomes, leading to gradual shortening

Nuclease
An enzyme that removes nucleotides from DNA, often used in repair
Repair polymerase
A DNA polymerase that fills in gaps with nucleotides during repair processes
Ligase
An enzyme that seals breaks in the DNA backbone by forming phosphodiester bonds
Mismatch repair
A repair mechanism that corrects mismatch errors missed by DNA polymerase proofreading

Excision repair
A repair system that corrects DNA errors/damage caused by spontaneous base changes, radiation, oxidation, or chemicals

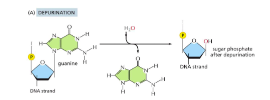
Depurination
Loss of a purine base (adenine or guanine) from the DNA backbone
Happens billions of times per second

Deamination
Removal of an amino group from a base, often converting cytosine to uracil

Mutation
Permanent change in the DNA sequence
Pyrimidine dimers
Covalent linkages between adjacent pyrimidine bases (usually thymine), often caused by UV light

Double-stranded DNA break
A severe form of DNA damage involving breaks in both strands of the DNA helix
Nonhomologous end joining
A repair pathway that joins broken DNA ends without requiring a homologous template

Homologous recombination
A precise repair pathway using a homologous DNA sequence as a template

Sister chromatid
One of two identical copies of a single replicated chromosome, joined together by a common centromere
DNA Duplex
The double-stranded structure of DNA formed by complementary base pairing between two strands
Polymerase chain reaction
A technique used to amplify a specific DNA segment exponentially using cycles of heating and cooling
Primer
A short strand of DNA (DNA used in PCR) or RNA that provides a starting point for DNA synthesis
Anneal or hybridize
The process by which primers bind to their complementary sequences on the template DNA during PCR
PCR cycle
One round of denaturation, annealing, and extension steps in PCR, repeated multiple times to amplify DNA
PCR product
The DNA fragment that is amplified during the PCR process
Agarose gel electrophoresis
A technique used to separate DNA fragments by size using an electric field in an agarose gel matrix
Plasmid
A small, circular DNA molecule used as a vector to carry foreign DNA into a host cell
Restriction enzyme
An enzyme that cuts DNA at specific recognition sequences, often used in cloning
Cloning (molecular)
The process of creating identical copies of DNA fragments by inserting them into a plasmid vector and then into host cells to be copied
Sanger sequencing
A method of DNA sequencing that uses chain-terminating nucleotides to generate DNA fragments of varying lengths
Chain-terminating nucleotides
Modified nucleotides (missing the 3’ OH) that stop DNA synthesis when incorporated, used in Sanger sequencing